![]()
|
|
Ce site est désormais accessible en |
|
22 Novembre 2025
![]()
|
||||||||||||||||||||||||||||||||||||||||||||
![]()
|
IDENTITÉS REMARQUABLES & Formules à noter de degré supérieur à 2 Identités remarquables en puissance n
Voir
Développements, notamment usage en
numération Vocabulaire:
on parle d'identités ou de formules
remarquables ou … moins remarquables. Développement "magique" avec
les coefficients polynomiaux Pour
développer (a + b)n ou (a + b + c + …)n , etc. ,
utilisez le calcul des coefficients
multinomiaux. Une simple fraction de factorielles. Exemple:
pour (a + b + c)6
Pour info
|
![]()
Formules de degré 3 et plus
|
(a + b)3 |
= |
a 3
+ 3a²b + 3ab² + b3 >>> |
|
|
(a – b)3 |
= |
a 3
– 3a²b + 3ab² – b3 |
|
|
a3 – b3 |
= |
(a – b) (a² + ab +
b² ) >>> |
|
|
a3 – 1 |
= |
(a – 1) (a² + a + 1
) |
|
|
a3 + b3 |
= |
(a + b) (a² – ab + b² ) Somme de deux cubes divisible par somme des
nombres. Ex: 93 + 93 = 18 x 81. |
|
|
a3 + c3 Quelle que soit
la valeur de b |
= = |
(a – b) (a² + ab + b² ) + (c + b) (c² – cb
+ b² ) (a3 – b3)
+ (c3 + b3 ) |
|
|
a3 + b3
+ c3 – 3abc |
= |
(a + b + c) (a² +
b² + c² – ab – bc – ca) Identité
de Gauss >>> |
|
|
= |
3abc lorsque (a + b + c) =
0 >>> |
||
|
a3 + 2b3
+ c3 |
= |
(a + b) (a² – ab + b² ) + (c + b) (c² – cb
+ b² ) |
|
|
a3 + 1 |
= |
(a + 1) (a² – a + 1
) |
|
|
(a² + 1) (a + 1) |
= |
a3 + a² + a + 1 |
|
(a² + 1) (a – 1) |
= |
a3 – a² + a – 1 |
|
(a² – 1) (a + 1) |
= |
a3 + a² – a – 1 |
|
(a² – 1) (a – 1) |
= |
a3 – a² – a + 1 |
|
(a + 1)² (a + 1) |
= |
a3 + 3a² + 3a + 1 |
|
(a – 1)² (a – 1) |
= |
a3 – 3a² + 3a – 1 |
|
(a + 1)² (a – 1)² |
= |
a4 – 2a² + 1 |
Merci à Roger Rainero
|
(a2 + a – 1) (a + 1) |
= |
a3 + 2a2 – 1 |
|
(a2 – a – 1) (a – 1) |
= |
a3 – 2a2 + 1 |
|
(a + b + c)3 |
= |
a3 + b3
+c3 + 3 ( a²b + a²c +
b²c + ab² + ac² + bc² ) + 6 abc |
|
(a + b)3
+ (a – b)3 |
= |
2a3 +
6ab² |
|
(a + b)3
– (a – b)3 |
= |
2b3 +
6a²b |
|
(a + b)3
* (a – b)3 |
= |
a6 – 3a4b2
+ 3a2b4 – b6 |
|
(a + b)3
/ (a – b)3 |
|
rien d'intéressant |
|
(a–b)3 + (b–c)3 + (c–a)3 |
= |
3(a – b)(b – c)(c –
a) |
|
n3
– n |
= |
(n – 1) n (n +
1) >>> |
|
n3
+ (n + 1)3 |
= |
(2n + 1) (n2
+ 2n + 1) >>> |
|
(n
+ 1)3 – n3 |
= |
3n² + 3n + 1 >>> |
|
n3
– (n – 1)3 |
= |
3n (n – 1) + 1 >>> |
|
(n
+ 1)3 + (n – 1)3 |
= |
2n3 + 6n |
|
(n
+ 1)3 – (n – 1)3 |
= |
6n² + 2 |
|
(n
+ 1)3 + n3 – (n – 1)3 – (n – 2)3 |
= |
12n (n – 1 ) +
10 >>> |
|
(n² + 3n + 1)2 |
= |
n (n + 1) (n + 2)
(n + 3) + 1 >>> |
Suite:
Somme de cinq nombres à la puissance p
Voir Somme de cubes et nombres d'Eisenstein / Nombres de dizaines et unités
/
Applications
(élimination de la racine cubique au dénominateur)
Racines cubiques
|
|
Voir Calculs avec les racines
cubiques
Puissances et factorielles
|
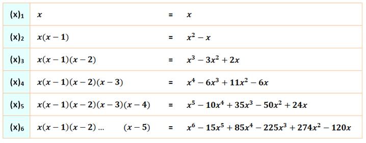
La énième différence finie des puissances énièmes est égale à factorielle n.
|
Voir Explications
et démonstration
|
Ex: 83 – 22 = 2 2883 – 109 4422
= 508 |
Voir Équation de Bachet
Identité de Fermat
|
|
Voir Application
Identité de Viète
|
|
Identité de Ramanujan
|
(3a²
+ 5ab – 5b²)3 + (4a² – 4ab + 6b²)3 + (5a² – 5ab – 3b²)3 =
(6a² – 4ab + 4b²)3 =
8 (3a² – 2ab + 2b²)3 |
|
a4 |
= |
|
||
|
(a + b)4 |
= |
a 4
+ 4a3b + 6a2b2 + 4ab3 + b4 |
||
|
(a – b)4 |
= |
a 4
– 4a3b + 6a2b2 – 4ab3 + b4 |
||
|
a4 + b4 |
= = |
(a + b)² (a – b)² – 2a²b² aucune factorisation |
||
|
a4 – b4 |
= = = = |
(a² + b²) (a² – b²) (a² + b²) (a + b)
(a – b) (a + b) (a3
– a2b + ab2 – b3 ) (a – b) (a3
+ a2b + ab2 + b3 ) >>> |
||
|
a4 + 4b4 |
= = |
(a² + 2ab + 2b²)(
a² – 2ab + 2b²) [(a + b)² +
b²] [(a – b)² + b²] |
||
|
a4 – 4b4 |
= |
(a² + 2b²) (a² –
2b²) |
||
|
a4 + b4
+ (a + b)4 |
= |
2 (a² + ab + b²)2 |
||
|
(a + 1)3
(a – 1) |
= |
a4 + 2a3
– 2a – 1 |
||
|
(a – 1)3
(a + 1) |
= |
a4 – 2a3
+ 2a – 1 |
||
|
(a + b + c)4 |
= |
a4 + b4
+ c4 + 4a3b +
4a3c + 4b3c + 6a²b²+ 6a²c²+
6b²c² + 4ab3 +
4ac3 + 4bc3 12ab²c + 12abc² +
12a²bc |
||
|
(a + b)4
+ (a – b)4 |
= |
2a4 +
12a²b² + 2b4 |
||
|
(a + b)4
– (a – b)4 |
= |
8ab (a² + b²) |
||
|
(a + b)4 (a – b)4 |
= |
a8 + b8
+ 6a4b4 – 4a²b² (a4 + b4) |
||
|
(a + b)4
/ (a – b)4 |
|
rien d'intéressant |
||
|
a4 + a2 + 1 |
= |
(a² + a + 1) (a² – a + 1) Identité d'Argand >>> |
||
|
a4 + a3 + a +
1 |
= |
(a + 1)2 (a² – a + 1) |
||
|
a4 – a3 – a +
1 |
= |
(a – 1)2 (a² + a + 1) |
||
Voir Identité
de Sophie Germain
|
n4 – 1 |
= = = |
(n + 1) (n3
– n2 + n – 1) (n – 1) (n3
+ n2 + n + 1) (n – 1) (n + 1) (n²
+ 1) >>> |
|
n4 – n =
n (n3 – 1) |
= |
n (n – 1) (n² + n +
1) |
|
n4 + n2
+ 1 = |
= = |
n4 + 2n2
+ 1 − n2 = (n2 + 1)2 − n2
(n2 + n
+ 1)(n2 − n + 1) |
|
n4 + 4 |
= = |
(n2 +2)2
– 4n2 (n2 – 2n
+ 2n) (n2 + 2n + 2) |
|
n4 + 4n |
= |
(2n + n2)2
– n2 2n+1 >>> |
|
n4 + 2n3 – n2 –
2n |
= |
(n – 1) n (n + 1)
(n + 2) >>> |
|
(n² + 3x + 1)² |
= = |
n (n + 1) (n + 2)
(n + 3) + 1 Application n4 + 6n3
+ 11n2 + 6n + 1 |
|
(n² + 3x – 1)² |
= = |
(n – 1) n (n + 1)
(n + 2) + 1 n4 + 2n3
– n2 – 2n + 1 |
|
(n² + 3x – 1)² |
= = |
(n – 2) (n – 1) n
(n + 1)) + 1 n4 – 2n3
– n2 + 2n + 1 |
|
= = |
n4 + 6n3
+ 11n2 + 6n + 1 (n2 + 3n
+ 1)2 |
Voir Produit de 4 nombres consécutifs +1 =
carré
|
n4 + n2
+ 1 |
= |
(n² – n + 1) (n² +
n + 1) |
|
|
= |
|
Voir Application
a la somme d'une suite
|
n4 + 4 n'est premier
que pour n = 1, seule
valeur portant le premier facteur à 1. n4 + 4n n'est premier que
pour n = 1 Voir
Démo |
|
|
Identité de Fauquembergue
|
|
Identité des congruum
|
|
Factorisations inattendues
(introduction de radicaux)

|
= |
a 5 + 5a4b + 10a3b2
+ 10a2b3 + 5ab4 + b5 |
||
|
(a – b)5 |
= |
a 5 – 5a4b + 10a3b2
– 10a2b3
+ 5ab4 – b5 |
|
|
a5 + b5 |
= |
(a + b) (a4 – a3b + a2b2
– ab3 + b4 ) |
|
|
a5 – b5 |
= |
(a – b) (a4 + a3b + a2b2
+ ab3 + b4 ) >>> |
|
|
a5 + 1 |
= |
(a + 1) (a4 – a3 + a2 – a + 1 ) |
|
|
a5 – 1 |
= |
(a – 1) (a4
+ a3 + a2 + a + 1 ) |
|
|
x5 + y5 |
= |
(x + y) (x4 – x3y + x2y2
– xy3 + y4) |
|
x5 – y5 |
= |
(x – y) (x4 + x3y + x2y2
+ xy3 + y4) |
Autrement-dit (exemple)
|
|
= |
|
|
(a + 1)3 (a – 1)2 |
= |
a5 + a4 – 2a3 – 2a2
+ a + 1 |
|
(a – 1)3 (a + 1)2 |
= |
a5 – a4 – 2a3 – 2a2 + a
– 1 |
|
n5
– n |
= |
(n – 2) (n –
1) n (n + 1) (n + 2) +
5 (n – 1) n (n + 1) Voir
Divisibilité par 30 |
|
n5 – 5n3 + 4n |
= |
(n – 2) (n – 1) n
(n + 1) (n + 2) >>> |
|
n6 –
1 |
= |
(n+1) (n–1) (n4+n2+1) |
|
n7 –
n |
= |
(n+1) n (n–1) (n4+n2+1) |
|
n5
– n Les 6
seules possibilités |
= = = = = = |
(n2 – n +
3) (n3 + n2 – 2n – 5) + 15 (n2 + n +
3) (n3 – n2 – 2n + 5) – 15 (n3 – 12n2
+ 89n – 408) (n2 + 12n + 55) + 22 440 (n3 + 12n2
+ 89n + 408) (n2 – 12n + 55) – 22 440 (n3 + 12n2
– 233n – 7 320) (n2 – 12n + 377) + 2 759 640 (n3 – 12n2
– 233n + 7 320) (n2 + 12n + 377) – 2 759 640 |
|
a6 + b6 |
= |
(a² + b²) (a4 – a2b2 + b4) |
|
|
a6 – b6 |
= |
(a + b) (a – b) (a² + ab + b²) (a² – ab + b²) |
|
|
a7 + b7 |
= |
(a + b) (a6 – ab5 + a2b4 –
a3b3 + a4b2
– a5b + b6) |
|
|
a7 – b7 |
= |
(a – b) (a6 + ab5 + a2b4 +
a3b3 + a4b2 + a5b + b6)
>>> |
|
|
a8
+ b8 |
= |
aucune factorisation |
|
|
a8 – b8 |
= |
(a + b) (a – b) (a² + b²) (a4 + b4) >>> |
|
|
a9 + b9 |
= = = |
(a + b) ( a8 – a7b + a6b2
– ... + b8 ) (a3 + b3) ( a6 – a3b3
+b6) (a + b) (a2 – ab + b2) ( a6 – a3b3
+b6 ) |
|
|
a9 – b9 |
= |
(a – b) (a2 + ab + b2) ( a6 + a3b3
+ b6 ) >>> |
|
|
a10 + b10 |
= |
(a² + b²) (a8 – a6b2 +a4b4
– a2b6 + b8) |
|
|
a10 – b10 |
= |
(a + b) (a – b) (a4 + a3b + a²b² + ab3 + b4)
(a4 – a3b
+ a²b² – ab3 + b4) |
|
|
a11 + b11 |
= |
(a + b) ( a10 – a9b + a8b2
– ... + b10 ) |
|
|
a11 – b11 |
= |
(a – b) ( a10 + a9b + a8b2
+ ... + b10 ) |
|
|
a12 + b12 |
= |
(a4 + b4) (a8 – a4b4
+ b8) |
|
|
a12 – b12 |
= |
(a + b) (a – b) (a² + b²) (a² + ab + b²) (a² – ab + b²) (a4 – a²b² + b4) Son
calcul >>> |
|
Voir Identités
en an + bn et
applications / Identités en an
- bn et applications
|
Propriétés D'une
part, le petit
théorème de Fermat dit: D'autre
part, le produit
de p nombres consécutifs est divisible par p (et même par p!). Ces
expressions (np – n et le produit de p nombres consécutifs) sont
toutes deux divisibles par p (on dit qu'elles sont congruentes modulo p). Par exemple: 35 – 3 = 243 – 3 = 240 = 5 × 48 Et:
2 ×
3 ×
4 ×
5 ×
6 = 720 = 5 × 144 Ces
deux expressions sont divisibles par 5. |
Exemples
On peut retrouver directement cette propriété en
"factorisant" np – n. Voir ci-dessous |
|
|
Exemple de "factorisation" pour p = 5
|
||
Identités en nk – n avec k impair pour k de 3 à 13

Merci à Alain Fabo
pour m'avoir proposé ces relations
|
|
|
|
Voir Cas où b = 1
Notation
développée (coefficients à la française)
Notation
abrégée (coefficients à l'anglo-saxonne)
Correspondance
entre les notations
Attention à l'inversion des indices. Ces nombres, les coefficients
binomiaux, sont aussi la quantité
de combinaisons de n éléments pris
k à k. Le point d'exclamation est le symbole de factoriel. |
|
Voir Fermat et Pascal / Newton / Combinaisons
Factorisation
des expressions en xk
+ yk + (x + y)k

|
(a
– b)n |
|
|
La quantité de facteurs est égale à la quantité de diviseurs de
l'exposant. Exemple avec 12 qui a six diviseurs (1, 2, 3, 4,
6, 12), il ya six facteurs. Calcul:
12 = 22 x 31,
alors, on ajoute 1 aux exposants et on multiplie: (2 + 1) (1 + 1) = 6. |

|
(a+b)n |
|


Voir Coefficients
du binôme / Application à
la caractérisation des unités / Binôme
complexe
|
an – bn |
= |
(a – b) (an–1 + an–2 b + ... + abn–2 + bn–1 ) |
|
|
a2 – b2 a3 – b3 a4 – b4 a5 – b5 |
= = = = |
(a – b) (a + b) (a – b) (a2 + ab + b2) (a – b) (a3 + a2b + ab2
+ b3) (a – b) (a4 + a3b + a2b2
+ ab3 + b4) |
|
|
a7 – 1 (exemple) |
= |
(a – 1) (a6 + a5 + a4
+ a3 + a2 + a + 1) >>> |
|
|
an – 1 |
= |
(a – 1) (an–1 + an–2 + ... + a
+ 1) |
|
|
a2n+1 – 1 |
= |
(a – 1) (a2n + a2n–1 + ... + a
+ 1) |
|
|
an + bn n
impair |
= |
(a + b) (an–1 – an–2 b + ... – a bn–2 + bn–1
) |
|
a2 + b2 a3 + b3 a4 + b4 a5 + b5 a7 + b7 |
= = = = = |
/ (a + b) (a2 – ab + b2) / (a + b) (a4 – a3b + a2b2
– ab3 + b4) (a + b) (a6 – a5b + a4b2
– a3b3 + a2b4 – ab5 +
b6) |
|
a3 + 1 |
= |
(a + 1) (a² – a + 1) |
|
a5 + 1 |
= |
(a + 1) (a4 – a3 + a2
– a + 1) |
|
a7 + 1 |
= |
(a + 1) (a6 – a5 + a4
– a3 + a2 – a + 1) |
|
an + 1 n impair |
= |
(a + 1) (an–1 – an–2 + ... – a
+ 1) |
|
a2n+1 + 1 |
= |
(a + 1) (a2n – a2n–1 + ... – a
+ 1) |
Voir Divisibilité
de ces formes / Impair / Formes en an
+1 / Factorisation de bn
+ 1 avec b impair
Merci à François Kany pour
ses remarques
Sommes limitées & Sommes infinies pour x < 1
|
1 + x + x2 + … xn |
= |
(1 – xn+1) /
(1– x) |
|
(1 – x) (1 + x + x2 + …) |
= |
1 /
(1–x) |
Voir Sommes infinies


Voir Suite >>> (nombres de
Stirling)
|
Suite |
|
|
Voir |
|
|
Site |
|
|
Cette page |
![]()