![]()
|
|
Ce site est désormais accessible en http://diconombre.fr/index.html et
pour cette page voir le lien en fin de page |
|
22 Novembre 2025
![]()
|
|||||||||||||||||||||||||||||||||||||||||||||||||||||
![]()
|
TRIANGLE ISOCÈLE Développements Triangle qui a deux côtés égaux; ou deux angles égaux (triangle
isoangle) Avec trois côtés (ou trois angles) égaux, le triangle est équilatéral. |
Orientation
|
Initiation, débutants,
voir Triangle isocèle, approche Développements sur le
triangle isocèle, voir cette page Le formulaire du triangle
isocèle, voir Propriétés Construction du
triangle isocèle, voir Constructions élémentaires Approfondir le
triangle isocèle, voir Menu d'en-tête |
|
Selon
l'angle au sommet: S'il
est inférieur à 90°, il est acutangle;
S'il est
égal à 90°, il est rectangle; et, S'il est
supérieur à 90°, il est obtusangle. |
Voir Trapèze isocèle / Découpage en triangles acutangles
Énigme: combien de triangles isocèles dans le triangle isocèle?
|
Un triangle isocèle contient quatre
triangles isocèles de dimension moitié ou encore seize pour le quart. |
Voir Jeux
et énigmes
|
|
|
|
|
|
|
|
||
|
A est le sommet. L'angle en A (alpha) est l'angle au sommet. Les angles en B et en C sont égaux.
A = 1/2 a² sin Voir Justification et autre formule
|
Un triangle qui a deux côtés de même
longueur est isocèle. |
|
Problème classique
|
Question Quelle
est la hauteur du triangle isocèle? Je connais les longueurs de la base (49,5
cm) et du côté (57 cm). Réponse La
hauteur partage le triangle isocèle en deux triangles rectangles. Le
bon vieux Pythagore fera
l'affaire.
Je veux aussi connaître l'angle à la base (A). Là,
il faut faire appel à la trigonométrie. Cos A = 24,75 /
57 = 0,434 A = Arccos (A)
= 64,2649° Sin A = h / 57 Sin 64,2649 =
0,900811 h = 0,900811 x
57 = 51, 3462 cm |
Voir Calculs des
coordonnées de points d'intersection
Triangle isocèle:
si les deux côtés sont égaux, les deux angles aussi – Démonstration

|
|
||
|
Triangle isocèle quelconque
On reporte la longueur du
côté AB sur le côté BC, qui donne BK.
k² = a² + h²
|
|
|
|
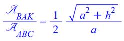
Triangle isocèle rectangle et
unitaire
Remarquez
que le rapport entre les aires des deux triangles est
un nombre irrationnel
(décimales sans fin). On dit que ces aires sont incommensurables (en gros, la
division ne tombe pas juste) |
Cette figure montre une bonne
méthode pour dessiner
simplement une aire en racine
de 2. |
|
|
|
||
|
½ , 1 , 1½
et 2. Voir Construction géométriques
des nombres / Construction
du milieu de AB au
compas seul |
|
|
Voir Nombre 0,5
Le plus petit entier
|
Le plus petit triangle isocèle ayant ses côtés,
une hauteur et son aire en nombre entiers et le triangle (5, 5, 6) >>> |
|
|
||
|
Cette figure illustre une des constructions de racine de 3.
|
|
|
|
(1 + ½)² +
( |
||
|
|
||
|
Triangle d'or classique, celui qui constitue les
branches de l'étoile à cinq branches.
Constitué de deux triangles
rectangles 18-72. Le triangle isocèle est tel que sa base mesurant
1, ses côtés égaux mesurent le nombre
d'or. |
cos
|
|
|
Propriétés de ce triangle d'or La bissectrice BD
partage le triangle isocèle en deux autres triangles isocèles ABD et DBC. Angle
en C = 72°; Angle en B aussi et sa moitié vaut 36°. Angle en D vaut alors: 180
– 72 – 36 = 72° Le
triangle BCD est isocèle et DB = BC = 1; tout comme DAB. Les triangles ABC et BCD sont semblables: angle
égal et deux côtés de même longueur. Proportion des côtés:
C'est la manière
de calculer CD La longueur CD est égale à l'inverse du nombre
d'or 0,618 = 1,618 – 1 = 1/ 1,618. |
Triangle isocèle avec base = 1 et
côtés = nombre d'or. Le tracé de la
bissectrice BD produit des propriétés remarquables. |
|
Voir Construction de l'angle de 18° / Construction du pentagone
|
|
||
|
|
sin
|
|
Voir Autres valeurs de dimensions
(pentagone)
|
|
||
|
|
tan
|
|
|
|
||||||||||||||||||||||||||||||||||||||||||||||||||||||||||||||||||||||||||||||||||
|
h = a cos ( b/2 = a
sin (
= ½ a cos ( = a² sin ( Or sin(x) cos(y) = ½ [ sin(x + y) + sin(x – y) ] Avec x = y = sin ( = ½ [ sin = ½ sin En reprenant la formule pour
l'aire:
|
Autre évaluation de l'aire h² = a² - (b/2)²
= ¼ (4a²- b²) h
= ½ (4a²- b²)1/2
= ¼ b (4a²- b²)1/2 |
|||||||||||||||||||||||||||||||||||||||||||||||||||||||||||||||||||||||||||||||||
|
Cas typiques Avec le triangle isocèle unité (a = 1).
|
||||||||||||||||||||||||||||||||||||||||||||||||||||||||||||||||||||||||||||||||||
Voir Trigonométrie
|
|
||
|
Montrez que si cette relation est vérifiée le
triangle est isocèle. |
|
|
|
Autre
écriture |
|
|
|
|
||
|
Angle du triangle (180°). |
|
|
|
Angles supplémentaires. |
|
|
|
Simplification: |
|
|
|
Conclusion: |
|
|
|
Pour rapprochement: formule de l'angle double: |
|
|
Autre considération |
|
|
|
|
|
En
rapprochant le résultat avec celui de la loi des sinus |
|
|
|
|
|
Langues Français triangle isocèle Anglais isosceles triangle Espagnol triangulo
isosceles Italien triangolo
isoscele Allemand gleichschenkliges
Dreieck Étymologie
Anglais
|
|
|
Trouvez un triangle isocèle inscrit dans
le cercle tel que les côtés passent par deux points donnés. Pour un billard circulaire: la balle A
doit rebondir une fois et frapper la balle B.
Problème ardu dont la solution date de
1997. |
Voir Billard d'Alhazen
![]()
|
Suite |
|
|
Voir |
|
|
Cette page |
![]()
|
|
||
|
|
Combien de triangles isocèles dans cette figure
en utilisant les sommets de A à H?
Somme: 6 + 5 + 4 + 3 + 3 + 2 + 1 = 24 Attention à un
dénombrement trop rapide qui passerait à côté du doublon de 3. Retour / Dénombrement
/ Jeux |
|
Cité par Stella Baruk –
Dico de mathématiques – Seuil