Ce site est désormais accessible en

 

 http://diconombre.fr/index.html

 

et pour cette page voir le lien en fin de page

22 Novembre 2025

 

 

 

 

NOMBRES – Curiosités, Théorie et Usages

 

Accueil                           DicoNombre            Rubriques           Nouveautés      Édition du: 05/12/2025

Orientation générale        DicoMot Math          Atlas                   Actualités                       M'écrire

Barre de recherche          DicoCulture              Index alphabétique        Références      Brèves de Maths

    

TRIANGLES

 

Débutants

Triangle

Résolution

 

Glossaire

Triangle

 

 

INDEX

 

Triangle

 

Types de triangles

Résolution

Hauteur

Aire (Héron)

Construction

Formules

Projection

T 13 14 15

Isométriques

Hypoténuse

T 48°

 

Sommaire de cette page

>>> Index

>>> Approche

>>> Ce qu'il faut savoir

 

 

 

 

Résolution des TRIANGLES

Comment s'y prendre?

 

Avec un minimum de connaissances sur un triangle, comment trouver les autres mesures? Que le triangle soit particulier – équilatéral, isocèle, rectangle – ou quelconque.

Dans le cas du triangle quelconque, le recours à la trigonométrie est le plus pratique. Ne prenez pas peur, dans ce cas, il s'agit d'une simple consultation de votre calculette. Par ailleurs, Internet offre des calculateurs (résolveurs) de triangle. On peut s'en sortir sans trigonométrie en dessinant une hauteur et en utilisant le théorème de Pythagore.

Anglais: solving triangles

 

Index RÉSOLUTION du Triangle

Par rubriques principales

Général

 

*      Le triangle: types, droites remarquables, 

*      Triangles égaux (congrus)

*      Triangles semblables

*      Construction des triangles

 

Pré-requis

 

*      Ce qu'il faut savoir pour résoudre un triangle

*      Formules et lois dans le triangle

*      Formule de Héron – Calcul de l'aire

 

 

Longueurs des côtés (L) et Angles (A)

 

3 côtés

2 côtés

LLL

LAL

LLA

Quelconque

>>>

>>>

>>>

Rectangle

>>>

>>>

>>>

Isocèle

>>>

>>>

>>>

Équilatéral

>>>

>>>

>>>

 

 

1 côté

Aucun côté

ALA

AAL

AAA

Quelconque

>>>

>>>

>>>

Rectangle

>>>

>>>

Isocèle

>>>

>>>

Équilatéral

>>>

>>>

 

*    Résoudre le triangle à trois côtés de mesures consécutives

 

Hauteur

 

 

Particulier

*    Résoudre le triangle rectangle en connaissant l'aire et le périmètre

 

 

 

Approche

*    Dans un triangle, il ya six éléments de base

*       les trois côtés et

*       les trois angles.

*    D'une manière générale, il suffit de connaître trois mesures  pour en déduire les trois autres. Sauf, un cas!

 

Notations dans le triangle

Six grandeurs: a, b, c,

 

 

Cas où les trois angles sont connus (AAA)

*    La figure montre que, si trois angles sont définis, il est possible de construire une infinité de triangles.

Ceci est vrai quel que soit le type de triangle, bien sûr.

 

Le triangle équilatéral est un exemple typique. Il en existe une infinité et pourtant, à chaque fois, on connait les trois angles, égaux à 60°.

 

De tels triangles avec leurs angles égaux deux à deux sont dits semblables .

 

Voir Méthode de construction

 

 

Seuls les angles sont connus

 

Ces triangles ont les mêmes angles.

Impossible de donner la longueur des côtés. Alignés de la sorte, ces triangles sont propices à l'emploi  du théorème de Thalès

 

 

 

Ce qu'il faut savoir

*    Inégalité triangulaire

 

a + b > c

La somme des longueurs de deux côtés est supérieur à la longueur du troisième côté. >>>

 

*    La somme des angles du triangle.

 

 

*    Loi des sinus

 

 

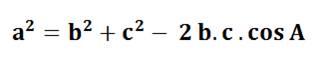
*    Loi des cosinus (exemple avec a)

 

 

*    Théorème de Pythagore

 

Si le triangle est rectangle en C

a² + b² = c²

 

 

 

 

 

Suite

*    Formules pour résoudre les triangles

*    Résolution des triangles LLL

*    Constructions élémentaires: les triangles

*    Résolution d'un triangle rectangle et 48°

Voir

*    Triangles héroniens

*    Triangle – Introduction

*    TriangleIndex

*    Volume du tétraèdre

*    Formule de Héron pour le trapèze

*    Les dix problèmes d'Apollonius

Sites

*    Triangle calculator – Calculator.net – Vous donnez trois valeurs; il vous indique les trois autres et en prime le dessin du triangle.

*    Calculateur de triangles – TrianCal

Cette page

http://diconombre.fr/GeomLAV/Triangle/Calcul/Resol.htm