![]()
|
|
Ce site est désormais accessible en http://diconombre.fr/index.html et
pour cette page voir le lien en fin de page |
|
22 Novembre 2025
![]()
|
Édition du: 29/11/2025 |
|
INDEX lettre B |
Dictionnaire de base du vocabulaire des mathématiques |
|
|
Faites
un double-clic pour un retour en haut de
page
Pour
trouver un mot: Ctrl F et tapez le mot
cherché
|
Avertissement Dictionnaire pour débutants,
juniors, novices, "nuls" … !!! On privilégie la compréhension par rapport à une rigueur mathématique !!! Les liens permettent de compléter et d'approfondir Pour une
version plus académique se reporter aux ouvrages spécialisés |
Légende Parfois,
plusieurs définitions sont données: de la plus "intuitive" à la
plus correcte mathématiquement Mode de recherche: si vous ne trouvez
pas symétrie centrale à symétrie, voyez à centrale, par exemple. Difficulté: * notion avancée;
** notion complexe. |
![]()
Balance: en comptabilité, un
état (document revu régulièrement) mettant en regard ce que l'entreprise
dépense (soldes débiteurs) et ce que l'entreprise
perçoit (soldes créditeurs)
– v. Bilan
Banach (espace de -)**:
on
dit qu'un espace métrique (X,d) est complet si toute suite de Cauchy de X est
convergente. Un espace vectoriel normé qui est complet
s'appelle espace de Banach.
– ex. tout espace vectoriel de dimension
finie sur ℝ ou ℂ, muni de n'importe quelle norme est de Banach,
Barre de fraction: représentation d'une fraction par une bande
rectangulaire divisée également selon la fraction à représenter.
Utile pour l'apprentissage
– v. Méthode Singapour
Barre de fraction: ligne horizontale séparant le numérateur du
dénominateur d'une fraction. Représenté en linéaire par un barre oblique.
– v. Vinculum, symboles
particuliers
– a. Fraction bar, vinculum: the
line that separates the numerator and the denominator in a fraction.
Barycentre: centre d'une figure
géométrique dont chaque sommet est doté d'une pondération.
Point d'équilibre entre divers points dont chacun à une masse propre.
Centre de distribution des charges ou des mases d'un objet.
Si toutes les masses sont égales, on parle d'isobarycentre.
– ex. L’isobarycentre de trois
points est le point de concours des médianes du
triangle dont les sommets sont ces trois points. C'est le centre de
gravité.
– syn. Centre d'inertie, centre de gravité, de centre de masse
– étym. Du grec barus, lourd; baros, idée de gravité ou de pression atmosphérique.
– v. Barycentre, pondération, isobarycentre
– a. Barycenter
Coordonnées barycentriques**: triplet de coordonnées dans un triangle
– v. Système de coordonnées
barycentriques
– a. Barycentric coordinate
system
Base de
données: ensemble des données stockées sur l'ordinateur.
Ensemble d'informations structurées accessibles au moyen d'un logiciel.
– ex. liste des communes
françaises avec population, superficie, nom du maire, etc.
– a. database, database
management system (DBMS)
Banque de données: plusieurs bases
de données regroupées.
– a. databank, a large shared data bank
Base de numération: la base décimale
(base 10) est notre manière de compter par puissances de dix.
– ex. 1234 veut dire 1 x 1000
+ 2 x 100 + 3 x 10 + 4;
on peut aussi compter par 8 (octal) ou par 2 (binaire)
…
La base est la quantité de chiffres du système de numération.
– v. Base de numération
– a. Radix or base: the number of unique digits, including the digit
zero, used to represent numbers
Base des logarithmes* : le logarithme de base
b d'un nombre réel strictement positif est la puissance à laquelle il faut
élever la base b pour obtenir ce nombre.
– ex. log (10 000) en
base 10 = 4 car 104 = 10 000.
– notation: log10
(10 000) = 4; ln(a) indique que la base est la constante e.
– v. Logarithme
– v. Logarithme: the logarithm
base 10 of 10 000 is 4.
Base d'une élévation à une puissance ou
base d'exponentiation: le nombre élevé à la puissance.
– ex. 210 = 1
024, le nombre 2 est la base et le nombre 10 l'exposant.
– v. Puissance
– a. Base: the power is written as a
small number to the right and above the base number
Base ou repère: Voir Repère
Base d'un espace vectoriel*: son système d'axes; la base est définie par une
série de vecteurs
non colinéaires; ex: pour le plan, la base du plan
vectoriel sera définie par un couple de vecteurs
; une base munie de
la même origine est appelée repère; et avec des
vecteurs orthogonaux
et de norme unitaire, le repère est orthonormé.
– v. Base et repère
Vector space, base

Base d'une figure géométrique
En
2D, c'est un côté particulier d'un polygone;
– ex: la base du triangle
isocèle, la base du trapèze;
En 3D, c'est la figure plane qui permet de
créer certains solides (cône, prisme, pyramide); côté opposé au
sommet (apex); ex: la base du cône est un cercle, la base
d'une pyramide régulière est un polygone.
Les autres faces que la base sont les faces latérales.
Base (d'une topologie): ensemble d'ouverts, chacun réunion d'éléments de cet ensemble.
Ainsi les propriétés d'une de ses bases s'appliquent à la topologie complète.
Une base caractérise une topologie.
– a. Base or basis
Base (angle à la -): dans un triangle
isocèle, chacun des angles formés par un des côtés et la base d'u triangle
isocèle, par exemple; ils sont égaux.
– v. Angles à la base
– a. The angles that involve the base of an isosceles triangle are known
as the base angles.
Base 100
(indice -): comparaison de l'évolution de valeurs en
supposant que l'un d'entre eux vaut 100.
– ex. le prix d'un paquet de café selon les années en donnant une valeur
100 en 2005, par exemple.
– v. Indice, règle de trois,
quatrième proportionnelle, nombre 100
– a.
Index base 100
Beauté: relation, identité ou formule considérée
comme encapsulant un résultat simple pour une réalité apparente complexe.
– v. Pépites, appréciation de Dirac
– quelques exemples:
La relation d'Euler
est un parfait
exemple de beauté mathématique dont Euler
disait qu'elle révélait la présence de la main de Dieu;
Les images de fractales sont une source de
ravissement sans fin;
Les démonstrations muettes;
etc.
Beauté mathématique: plaisir
esthétique émanant de travaux mathématiques. Mathématiques vues comme une
création artistique au même titre que la poésie ou la musique. Carl Friedriech Gauss (1777 -1855) hésitait entre les
humanités et les mathématiques. Il a alors trouvé la construction du polygone à 17 côtés et c’était
tellement beau qu’il a continué dans la voie mathématique.
Bernoulli (lois de -): loi de probabilité d'une
variable aléatoire discrète qui vaut 1 avec la probabilité p et 0 avec la
probabilité q = 1 – p.
Bilan d'une épreuve qui n'admet que deux issues (épreuve de Bernoulli).
– v. Loi de
Bernoulli
– a. Bernoulli distribution
Bernstein (polynômes de
-)**: polynômes servant de base à la construction des courbes de Bézier.
– a. Bernstein polynomial
Bézier (courbe de -)* courbe élémentaire
utilisée en conception assistée par ordinateur (CAO).
– histo. invention commune de Paul de Casteljau en
1959 (Citroën) et de Pierre Bézier en 1962 (Renault).
– ex. Voir cette illustration avec
animation en: Courbe
de Bézier
– a. Bézier curve
Bézout (identité de -)
ou théorèmes de Bachet-Bézout: deux nombres entiers a et b sont premiers entre eux ssi on peut trouver deux entiers relatifs tels que
.
Connu aussi en tant que relation de Bézout, ou encore, identité de Bachet.
– v. Identité de Bézout
– a. Bézout's identity or Bézout's lemma
Bicarré:
synonyme
de puissance quatrième.
– ex. 0, 1, 16, 81, 256, 625,
1296, 2401, 4096, …
– v. Bicarré
– a. Biquadrates number or tesseractic numbers
Bicarrée (polynôme ou
équation -): de la forme ![]()
– v. Équations
– a. polynomials with higher powers than squre and cube are called quartic,
quintic, sextic, heptic, and octic before they stop having names.
Bijection: correspondance un
pour un dans les deux sens.
Application à la fois injective et surjective.
Deux ensembles en bijection sont appariés.
– autres noms: Fonction
bijective, application bijective
– ex. Un humain et son numéro de sécurité sociale.
– ex. Les fonctions exponentielle et logarithme sont deux
fonctions bijectives réciproques.
– relation: bijection =
injection + surjection
– v. Bijection,
vocabulaire
des structures algébriques
– a. Bijection, one-to-one correspondance or mapping,
bijective function
Une bijection est une application (ou fonction) où, dans un ensemble d'arrivée,
tous les éléments ont un élément et un seul dans l'ensemble de départ et où le
nombre d'éléments de l'ensemble d'arrivée est égal au nombre d'éléments de
l'ensemble de départ.
Chaque point M de E a une image P en F, et une seule et
unique; les éléments de E et leur
image en F se correspondent un à un.
Bilan: état comptable
d'une entreprise montrant sur deux colonnes, d'un côté, comment se finance
l'entreprise (passif) et, de l'autre, comment elle utilise
ses fonds pour développer son activité (actif). La somme
de l'actif est comparée à celle du passif. La différence témoigne des bénéfices
ou des pertes de l'entreprise. Ce constat est porté dans le bilan pour
équilibrer (balancer, rendre égal) le montant de l'actif et
celui du passif.
– a. Balance sheet
Bilinéaire (application
-)**: c'est une application analogue à une application linéaire, mais à deux
variables.
Une application bilinéaire est une fonction combinant des éléments de deux
espaces vectoriels pour donner un élément d'un troisième espace vectoriel, et
elle est linéaire dans chacun de ses arguments.
– ex. multiplication
matricielle
– a. bilinear map
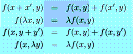
Il nous faut donc trois espaces vectoriels
sur K : E, F et G.
Et l’application f : E × F → G .
Elle est bilinéaire si les égalités suivantes sont vérifiées pour toutes les
valeurs de :
![]()

Billiard: 1000 billions = 1015
Billion: billion = 1012
= 1000 milliards;
– v. Billion, zillion, noms des
grands et des petits nombres
– attention: billionUS, CANADA = 109
= milliardFRANCE
Bimédiane: dans un quadrilatère
convexe, segments qui joignent les milieux des côtés opposés.
– a. Bimedians: the two
bimedians of a convex quadrilateral are the line segments that connect the
midpoints of opposite sides.
Binaire:
manière
de compter par 2, comme les ordinateurs avec 0 et 1
– v. Binaire, numération, décimale.
– a. Binary number: number
expressed in the base-2 numeral system or binary numeral system
Opérateur binaire: qui comporte deux
opérandes.
– ex. Les quatre opérations
classiques sont des opérateurs binaires.
– v. opérateur
unaire
Binaire (relation -): se dit d'une relation d'un ensemble sur
lui-même.
Relation de E vers E;
– ex. l'addition est une
relation (opération) binaire.
– v. Relation
binaire
– a. A binary relation
associates elements of one set, called the domain, with elements of another
set, called the codomain
Prédicat binaire: un prédicat qui établit une relation entre une paire
d'objets.
Un prédicat n-aire exprime une relation entre n
objets.
– a. binary predicate; 2-ary
predicate
Binôme: polynôme à deux
termes.
Quand la somme de deux monômes
n’est pas un monôme, c’est un binôme.
– ex. si a, b, x, y sont des nombres réels : ax + 2 ab = 3 ax est un monôme;
a + b, a² + 6b3ax + b, a²x3 + by, ax² – by
– v. Polynôme, trinôme, monôme;
Nom qui apparaît 1554. On le retrouve en adjectif
en 1613. Il signifie: composé de deux parties. Il viendrait du latin binomium,
de bis et de nomem, quantité algébrique
à deux termes. En 1842, ce terme désigne aussi à des étudiants qui travaillent
ensemble.
Binôme de Newton: développement d'un
binôme élevé à une puissance (a + b)n .
– ex. (a+b)² = a² + 2ab + b²; (a+b)3 = a3 + 3a²b +
3ab² + b3 .
Les coefficients
sont les nombres du triangle de Pascal:
1 2 1 puis 1 3 3 1, etc.
D'une manière générale, on a cette formule:
Lecture de la formule: le développement du binôme (a + b) à la puissance n
est égal à la somme des termes de 0 à n, chacun étant le produit d'un
coefficient binomial par a avec une puissance décroissante à partir de n, et b
avec une puissance croissante à partir de 0.
– v. Binôme de
Newton
– a. Binomial theorem
Binomial (coefficient
-): coefficient du développement du binôme de Newton.
Ce coefficient donne la quantité de combinaisons de p éléments
parmi q (comme au Loto).
– notation:
C'est le nombre de combinaisons
de n objets pris p à p.
–
v. Coefficients
du binôme
– a. Binomial coefficient
Binomiale (loi -): loi discrète qui
compte le nombre de succès d'une suite d'événements.
Elle
modélise la fréquence du nombre de succès obtenus lors de la répétition de
plusieurs expériences aléatoires identiques et indépendantes.
Répétition de n épreuves de Bernoulli identiques et
indépendantes.
– v. Loi binomiale
– a. Binomial distribution
Biparti (graphe -): graphe comprenant
deux séries de sommets. Il est complet si chacun des sommets de l'un rejoint
tous les sommets de l'autre.
– ex. Le graphe K3,3 est un graphe biparti complet.
– v. Graphe et
son vocabulaire
– a. Bipartite graph or bigraph
Bipoint: couple de points dans un ordre
précis. Le premier point est l'origine.
Deux bipoints (A, B) et (C, D) sont dits équipollents
lorsque les segments [AD] et [BC] ont le même milieu. Les points A, B, C et D
sont alors les sommets d'un parallélogramme.
– notation (A, B).
– v. Segment, vecteur, mesure algébrique
– a. Vector
Bipoints équipollents: deux bipoints (A,
B) et (C, D) sont équipollents si les segments AD et
BC ont même milieu.
Les segments AB et CD sont parallèles et de même mesure.
Le quadrilatère
ABDC est alors un parallélogramme.
– a. Equipollent bipoints
Bipyramide ou diamant: deux pyramides
régulières isométriques (les mêmes) réunies par leur base.
– a. Bypiramid: polyhedron formed by joining two congruent regular pyramids
base-to-base.
Bit : Binary Digit. Élément d'information élémentaire dans un ordinateur à deux valeurs 0 ou 1 . Ne pas
confondre avec byte, mot anglais qui signifie octet.
– v. Bit, informatique
– a. Bit: A binary digit, generally represented as a 1 or 0.
The smallest unit of storage in a digital computer.
Qubit ou qbit:
état quantique qui représente la plus petite unité de stockage d'information
quantique.
– v. Ordinateur quantique,
qubit
– a. Qbit, qubit: a quantum bit.
Bitmaps: mode de définition
d'une image point à point (pixel par pixel). Le fichier d'une image est
volumineux comparé à une définition vectorielle.
Birapport
de quatre nombres*: nombre avec sa notation:
![]()
aussi
nommé rapport anharmonique.
– v. Homologie
– a.
Cross-ratio or double ratio or
anharmonic ratio
On
parle de:
Birapport de quatre points situés sur un axe;
Birapport de quatre droites concourantes;
Birapport de quatre points sur un cercle ou une
conique.
Bissectrice d'un angle:
demi-droite
issue du sommet de l'angle
et qui le partage en deux parties égales; notez qu'il en existe deux pour
chaque angle; la bissectrice d'un angle est son axe de symétrie.
– v. Bissectrice
– a. Angle bisector: it divides the angle into two angles with equal
measures
Bissectrice d’un angle géométrique: on appelle bissectrice de
l’angle géométrique xOy toute droite Oz qui partage l’angle xOy en deux angles
égaux. Il existe deux telles droites Oz et Oz’, qui sont perpendiculaires ; Oz
est appelée bissectrice intérieure, Oz’ bissectrice extérieure (imaginez que Ox
et Oy sont prolongés).
La bissectrice de l'angle xOy est l'unique demi-droite Oz telle que la symétrie
orthogonale par rapport à Oz échange les deux demi-droites [Ox) et [Oy).
La bissectrice de l'angle xOy est aussi l'ensemble des points qui sont à égale
distance des demi-droites [OA) et [OB): PM = PM'.
La bissectrice extérieure de l'angle xOy est la droite perpendiculaire à Oz
passant par O. Si P est le symétrique de M
par rapport à O, la bissectrice extérieure de MOM' est la bissectrice de
MOP.
Bissectrices d'une paire de droites sécantes: les deux bissectrices vues
prcédemment.
Bissectrices d’un triangle: les bissectrices des trois
angles d’un triangle ABC sont appelées bissectrices du triangle. Les trois
bissectrices intérieures sont concourantes en un point I qui est le centre du cercle inscrit dans
le triangle.
Biunivoque: Qui fait
correspondre un à un, les éléments de deux ensembles.
– ex. La droite
numérique réalise une correspondance biunivoque entre l'ensemble des nombres réels et les
graduations et sous-graduations de la droite.
– v. Bijection
– a. one-to-one
Bloc de trois chiffres:
la
norme SI précise que, pour la lisibilité des nombres, leurs chiffres peuvent
être groupés par blocs de trois séparé par un espace. Le virgule (ou le point)
est le séparateur décimal.
– ex. 1 000 000 ; 1 000 000, 234
567 89
– v. Bloc de trois chiffres
– a. Cipher. Ex.
1,000,000 is a number having two ciphers of zeros
Boole
(algèbre de-) ou calcul booléen: arithmétique particulière utile en logique.
– v. Algèbre
de Boole
– a. Boolean algebra
Booléen (variable): qui prend la valeur
0 ou 1 exclusivement.
– v. Fonction
booléenne
– a. Boolean value
Bon ordre: l’ensemble des
entiers naturels ℕ est muni d’une
relation d’ordre, notée : ≤ (inférieur ou égal à ...). L’entier a est
inférieur ou égal à l’entier b s’il existe un entier c tel que a soit égal à b
+ c.
N’importe quelle partie A de ℕ admet un élément
qui est plus petit que tous les éléments de A: Si A = { 3, 4, 5, 6 , . . . ,
n}, le plus petit élément de A est 3.
L’ensemble des nombres réels ℝ est aussi muni d’une
relation d’ordre, notée aussi ≤ (le réel x est inférieur ou égal au réel y
si la différence y - x est positive).
Une partie de ℝ constituée par un
intervalle fermé [a, b] ou un intervalle semi-ouvert [a, b[ ou [a, +ꝏ[ admet bien un plus petit
élément : a. Mais ce n'est pas le cas pour une partie ouverte ]a, b[ (car, si on considère un nombre x
quelconque de ]a, b[ aussi proche soit-il de a, il existe toujours un nombre
réel y qui est compris entre a et x, donc qui soit inférieur à x.
On dit
que ℕ est bien ordonné, ou encore que la relation d’ordre
de ℕ est une relation de bon ordre, tandis que la
relation d’ordre de ℝ n’est pas une
relation de bon ordre.
De façon générale, une relation d’ordre dans un ensemble E est une relation de
bon ordre si toute partie non vide de E admet un plus petit élément.
Borne: la plus grande des
valeurs (supérieure) ou la plus petite (inférieure) d'un intervalle.
Un intervalle est un ensemble ordonné de points compris entre deux bornes.
– a. Endpoints: An open interval
does not include its endpoints, and is indicated with parentheses.
Partie bornée: une partie A de
est bornée si elle est majorée par M et
minorée par N. La borne M est telle que, pour tout x de A, x
M; La borne N est telle que, pour tout x de A,
x
N.
Cette notion de majorant, minorant et borné s'étend aux fonctions: f(x)
M; f(x)
N.
– a. Bounded set
Ensemble borné: dans l’ensemble ℕ des entiers positifs, on a défini une relation est inférieur ou égal à . Si on considère le sous-ensemble de N
constitué des trois nombres 3, 4, 5 : A = { 3, 4, 5 }, tous les éléments de A
sont inférieurs ou égaux à 5 et ils sont tous supérieurs ou égaux à 3 ; la
partie A de ℕ est bornée.
L'ensemble ℕ n’est pas borné, car on ne peut trouver un entier p
tel que tous les autres lui soient inférieurs.
Soit E un ensemble sur lequel est définie une relation d’ordre (notée ≤)
; une partie de A est dite bornée s’il existe deux éléments m et M de E tels
que tout élément x de A soit à la fois inférieur ou égal à M et supérieur ou
égal à m :
Tout intervalle fini de ℝ (ensemble des
nombres réels) est borné.
Application bornée: une application f d’un ensemble E vers un ensemble F
muni d’une relation d’ordre est dite bornée si l’image par f de E est une
partie bornée de F.
Par exemple, l’application f de l’intervalle [0, 1] dans R qui à tout nombre
réel x de [0, 1] fait correspondre le nombre réel f(x) = 2x + 1 est bornée, car
si x est compris entre 0 et 1, alors f(x), par exemple 2x + 1, est compris
entre 1 et 3.
Boule: volume
compris dans la sphère;
parfois nommée sphère si pas de confusion possible; la boule de centre O et de
rayon r est l'ensemble des points M de l'espace tels que
.
– v. Sphère
– a. Sphère
Soient E un ensemble muni
d’une distance d, x un point de E et r un nombre réel positif. On appelle boule ouverte de centre x et de rayon r et on note
B(x, r) l’ensemble des éléments y de E dont la distance à x, d(x, y), est
strictement inférieure à r. On note:
On appelle boule fermée de centre x et de rayon r l’ensemble
des éléments y de E dont la distance d(x, y) a x est inférieure ou égale à r.
On la note:
![]()
Boustrophédon
(transformation -)**: sorte de transformation
en zigzag. Tient son nom de l'écriture ancienne en boustrophédon qui allait de
gauche à droite puis continuait de droite à gauche, ainsi de suite.
Nombres boustrophédon: Suite de nombres issues des diverses permutations
alternées d'un jeu de nombres. Ex: U4 = 5 car les permutations
alternées sont: (1324), (1423), (2314), (2413) et (3412). Ces nombres sont
liées aux nombres d'Euler et
ceux de Bernoulli.
– v. Nombres zigs et zags
– a. Boustrophedon

Bouteille de Klein*
– v. Klein
– a. Klein bottle
BPP**: bounded
probabilistic polynomial. Calcul qui peut être exécuté en temps polynomial par
une machine de
Turing probabilistique.
BQP**: bounded quantique
polynomial. Par une machine de Turing quantique.
Brachistochrone (courbe
-):
courbe dans un plan vertical sur laquelle un point matériel pesant placé dans
un champ de pesanteur uniforme, glissant sans frottement et sans vitesse
initiale, présente un temps de parcours minimal parmi toutes les courbes
joignant deux points fixés.
– v. Gravitation
– a. Brachistochrone: curve of
fastest descent,
Branche ou arête d'un
graphe: chaque ligne qui joint deux sommets dans un graphe.
– v. sommet,
vocabulaire des graphes
– a. edge, link, line; vertice
Branche principale d'une fonction: partie retenue comme utile pour la
suite du raisonnement.
Par exemple, la partie positive d'une racine carrée est la
branche principale de la fonction x1/2 (racine carrée avec racines
positives comme négatives).
Utile pour les fonctions réciproques: logarithmes,
racine, arctg …
Branche d'une discipline: synonyme de partie, de sous-ensemble
– ex. La topologie est une
branche des maths
– v. Branches
des mathématiques
– a. Branch of mathematics

Brisée (ligne -) ou ligne polygonale: segments reliant
une suite de points.
Une ligne brisée fermée est un polygone.
– v. Ligne
polygonale
– a. Polygonal chain: a
connected series of line segments.
Brownien (mouvement -):
mouvement
erratique, aléatoire, dans tous les sens; distribution statistique selon une loi gaussienne;
Mouvement incessant de particules microscopiques en suspension dans un liquide
ou dans un gaz, dû à l'agitation thermique des molécules du fluide; phénomène
fut découvert en 1827 par le botaniste britannique Robert Brown; en 1905,
Albert Einstein établit une description mathématique du phénomène; le nombre
d'Avogadro fut évalué par le physicien français Jean-Baptiste Perrin, à partir
d'une étude quantitative du mouvement brownien.
– v. Mouvement
brownien, bruit gaussien
– a. Brownian motion
![]()
|
Voir |
|
|
Aussi |
|
|
Autres |
|
|
Cette page |
![]()