NOMBRES - Curiosités, théorie et usages

 

Accueil                           DicoNombre            Rubriques           Nouveautés      Édition du: 08/10/2025

Orientation générale        DicoMot Math          Atlas                   Actualités                       M'écrire

Barre de recherche          DicoCulture              Index alphabétique        Références      Brèves de Maths

             

NOMBRES

 

Débutants

Général

Dénombrement

 

Glossaire

Général

 

 

INDEX

Puissance

Décomposition

 

Bell

Bernoulli

 Motzkin

Catalan

Parts de tarte

Genocchi

 

Sommaire de cette page

>>> Liste des nombres de Bernoulli

>>> Application

>>> Somme des puissances – Formules et valeurs

>>> Fonction génératrice

>>> Algorithme d'Ada Lovelace

 

 

 

 

 

NOMBRES de BERNOULLI

Formule de Faulhaber

 

Nombres rationnels qui interviennent dans les problèmes de dénombrement, les calculs de somme de puissances et bien d'autres …

Le théorème de Nicomaque de Gérase (somme des cubes = somme des entiers au carré) est un cas particulier de la formule de Faulhaber.

 

 

La famille BERNOULLI

 

Famille Bernoulli: suisses mathématiciens et aussi physiciens.

*       Jacques ou Jacob (1654-1705): épreuve de Bernoulli, nombres de Bernoulli, Lemniscate de Bernoulli, Inégalité de Bernoulli, isopérimètre, somme des puissances de 10.

*       Jean (1667-1748): calcul infinitésimal.

*       Nicolas II ou Nicolaus (1695-1726): équations différentielles, probabilités, dénombrement.

*       Daniel (1700-1782): théorème de Bernoulli, théorie cinétique des gaz, équation de Daniel Bernoulli.

 

Voir Contemporains / Vitesse du jet

 

 

Liste des nombres de Bernoulli

 

*    À partir de 3 tous les nombres de Bernoulli de rang impair sont nuls.

*    Notez l'écriture des nombres décimaux montrant un éventuel cycle.

 

 

Applications: somme des puissances

 

*    Les nombres de Bernoulli apparaissent en tant que coefficients dans la formule donnant la somme des puissances d'ordre quelconque.

*    On connait les formules donnant la somme des entiers, des carrés, des cubes … Bernoulli (1713) voulait une formule générale quelle que soit la puissance m. La formule existe même si elle n'est pas simple.

 

*    On cherche à calculer:

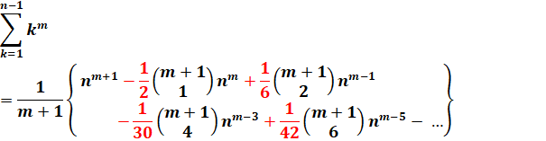
*    La formule est la suivante (formule de Fualhaber):

 

Les deux nombres l'un sous l'autre entre parenthèses sont les coefficients du binôme (ou la quantité de combinaisons). Voir tableau ci-dessous pour développements.

 

*    Même formule mais avec somme abrégée et coefficients du binôme développés:

 

*    Les nombres de Bernoulli interviennent aussi dans la formule donnant la somme des inverses des puissances paires.

valable pour m  pair (car les Bernoulli impairs sont nuls à partir de 3) .

 

*    Appliquée aux carrés (m = 2) cette formule devient:


 

 

 

Somme des puissances de 0 à 10

 

Explications

Sk(n): Somme des nombres de 0 à n – 1, chacun porté à la puissance k.

Ainsi, S1(n) est la somme des entiers de 1 à n avec la formule connue: S = ½ (n – 1) n.

 

Exemple avec la somme des carrés:

Calcul direct de la somme des carrés :         

          S2(3) = 0² + 1² + 2²  = 5  (n étant la quantité de nombres y compris le 0)

Et, la formule ci-dessous donne bien:

          S2(3) = 1/3 (27) – ½ (9) + 1/6 (3) = 9 – 9/2 +1/2 = 5.

 

Formules Attention: on compte la quantité de nombres sommés y compris le 0

Si vous voulez la somme de 1 à k faire n = k + 1

 

Voir Somme des puissances jusqu'à 20, formules classiques avec n

 

Valeurs des sommes pour puissance k de 1 à 10  et nombres de m = 1 à 10  (avec m = n – 1)

 

Exemple: 1² + 2² + 3² + 4² = 30

 

Voir  TablesIndex

 

 

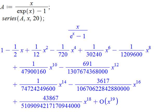
Fonction génératrice des nombres de Bernoulli

 

*    Les nombres de Bernoulli sont aussi les coefficients du développement en série de cette fonction


 

 

Convergence pour .

 

*    Pour les obtenir avec le logiciel Maple:

 

 

 

 

Algorithme d'Ada Lovelace

 

 

Document complet – Wikipédia

 

 

Voir Ada Lovelace et son algorithme / Les 15 plus importants algorithmes de l'histoire

 

Merci à Claude M.  pour sa contribution

 

Suite

*       Nombres de Bell

*       Nombres Boustrophédon

*       Divisibilité de nk – n

Voir

*       Nombres premiers réguliers

*       Nombres tangents

*       Formule de Stirling

*       Somme des puissances

Diconombre

*       Nombre – 0,5

*       Autres nombres

Sites

*       Formule de Faulhaber – Wikipédia

*       The Bernoulli Number Page – Bernd C. Kellner

*       Bernoulli Number – Frank Harris

*       OEIS A166062 – a(n) = denominator (Bernoulli(prime(n) - 1)).

Cette page

http://villemin.gerard.free.fr/aNombre/TYPDENOM/Bernoull.htm