Accueil

Orientation générale

Barre de recherche

DicoNombre

DicoMot Math

DicoCulture

Atlas des maths

Rubriques

Index alphabétique

Nouveautés

Actualités

Références

Édition du: 06/10/2025

M'écrire

Brèves de Maths

 

INDEX

 

Compter

Dénombrer

FACTORIELLES

Index factorielle

Introduction

Tronquées

Alternée

Généralisées

Faites un double-clic pour un retour en haut de page

 

 

Factorielles Généralisées

Fonction gamma d'Euler

 

La fonction gamma (Γ) est en réalité une généralisation de la fonction factorielle aux nombres non entiers.

Elle constitue une extension élégante qui permet de calculer notamment,  la factorielle de tout nombre réel positif, même lorsque celui-ci n’est pas un entier.

Elle est définie sur l'ensemble des nombres complexes excepté les entiers négatifs ou nuls.

         

Niveau Terminale

 

Sommaire de cette page

>>> Approche – Fonction gamma

>>> Minimum local – Fonction digamma

>>> Fonction gamma d'Euler

>>> Calcul par itération

>>> Calcul par intégration

>>> Calcul par produits

>>> Valeur typiques

>>> Table de valeurs

>>> Graphiques

>>> Doublons

 

Débutants

Dénombrement

 

Glossaire

Combinatoire

 

En bref

Fonction gamma des entiers

La fonction gamma de n entier est la factorielle de n – 1.

 

Exemples

Nombres fractionnaires


Factorielle ½ est plutôt notée Γ(3/2) et elle lue:  gamma trois demis. Factorielle (-1/2) est notée Γ(1/2).

 

Propriété

Amusement

Avec la fonction gamma, il suffit de deux 4 pour faire 7 .

Voir Lettres grecques / Brève 64-1360

Merci à Jean-Luc Blary pour ses remarques

 

Approche – Fonction gamma

haut

 

Recherche d'une factorielle de fraction

Nous connaissons les factorielles des nombres entiers.

Que penser de la factorielle d'un nombre décimal, comme par exemple factorielle de 3,5.

Par extension de la notion de factorielle, nous trouverions la valeur indiquée sur la courbe (11,6317…)
 

Les mathématiciens (Euler le premier) ont introduit une fonction gamma () qui interpole les valeurs des factorielles entre les entiers.

 

Ce prolongement n'est pas une fonction simple. Elle fait appel au calcul intégral. Ou autrement dit, à la somme infinie de quantités infinitésimales.
 


Graphe de la fonction gamme entre 2 et 4

Notez qu'il faut ajouter 1 en abscisse

pour obtenir  fonction GAMMA.

 

 

Minimum local – Fonction digamma

haut

 

Graphe de la fonction gamma pour x >0

*      Valeur minimale de la fonction gamma (extension de la notion de factorielle aux nombres réels).

 

*      Le point minimum se trouve en résolvant:

 

*      La fonction psi, la dérivée de gamma, est appelée fonction digamma

 

Programme Python

 

from mpmath import mp, findroot, digamma, gamma

 

# Précision sur 25 chiffres

mp.dps = 25

 

# Trouver x tel que digamma(x) = 0

x_min = findroot(digamma, 1.46)

 

# Calcul de Gamma(x_min)

y_min = gamma(x_min)

 

# Affichage

print(f"x_min = {x_min}")

print(f"y_min = {y_min}")

 

Commentaires

Précision de 25 chiffres demandée avec dps (digital places).

Pour trouver la racine (findroot), on ensemence le calcul avec une valeur approchée de la valeur à trouver (ici: 1,46).

Calcul de la fonction gamma (y) pour l'abscisse trouvée et affichage des coordonnées.  

 

Sorties

*      x_min =

1,4616321449683623412626595 423257213284681962040064…

*      y_min =

0,8856031944108887002788159 005825887332079516460341…

Voir Nombre 0,886… / A30171 /  A30169 / Programmes PythonIndex 

 

 

 Développement détaillé

 

 

FONCTION GAMMA D'EULER

 

Noms

Fonction gamma  (mpmath.gamma dans Python et GAMMA dans Maple)

Fonction gamma d'Euler.

Fonction eulérienne de première espèce

 

Définition par intégrale

 

 

 et x sont des réels et x > 0

 

Lecture: gamma de x est égal à l'intégrale (sorte de sommes en quantité infinie) pour t variant de zéro à l'infini, du produit de l'exponentielle de  moins t par t à la puissance x moins 1 et encore multiplié par dt (une quantité qui à la limite tend vers zéro, c'est cette petite quantité qui justifie le mot d'intégrale et non de sommes infinies).

 

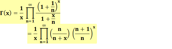
Définition par produits (en quantité) infinis

 

 

Lecture: gamma de x est égal à un sur x multiplié par le produit infini d'une fraction dont le numérateur est égal à 1 plus 1 sur n le tout à la puissance x et le dénominateur est égal à 1 plus x sur n.

 

Passage aux factorielles:     (K étant toute la partie produit).

 

En multipliant par x:       x

 

Soit la formulation en produit pour les factorielles:

 Merci à Mireille C. pour cette formulation

Propriétés

 

Si x est entier:       (x) = (x – 1)!
Ce qui explique le nom de factorielle généralisée.

 

Gamma donne la factorielle décalée d'un cran.

Si x est un réel:      (x + 1) = x . (x) ou (x) = (x + 1) / x

 

Il existe une généralisation avec les complexes.

 

 

En pratique

 

On trouve aussi bien la notation en GAMMA qu'en factorielle. Ainsi:

 

Cas particulier des demis

 

 Où n!! est la factorielle des nombres impairs dite double factorielle.

 Par exemple:  5!! = 1 x 3 x 5 = 15.

 

 

 

Voir Constante gamma d'Euler / Symboles

 

 

Calcul par itération

 

Entiers

(5) = 4(4) = 4 . 3 (3) = 4 . 3 . 2 (2)

                               = 4 . 3 . 2 . 1 (1) = 4 . 3 . 2 . 1 = 4!

 

On retrouve bien la relation entre la fonction gamma et les factorielles des entiers.

 

Fractionnaires

(4,5) = 3,5 (3,5) = 3,5 x 2,5 (2,5)

                                           = 3,5 x 2,5 x 1,5 (1,5)

                                  = 3,5 x 2,5 x 1,5 x 0,5 (0,5)

                                  = 6,5625 x 1,77245 = 11,6317… >>>

 

Alternative

En prenant la formule spécifique des demis, la quantité de demis n = 9 et le coefficient de racine de Pi est égal à : (9 – 2) !! / 24 = 1 x 3 x 5 x 7 / 16 = 105 / 16 = 6,5625.

 

Négatifs



 

 

 

Principe du calcul avec la définition par intégrale

 

*    Voici une approche du calcul intégral, réalisable sur tableur ou mieux par programmation.

*    Ci-contre exemple de calcul avec tableur (Excel).

*    le pas de calcul (dt) est fixé à 1. On approchera de plus près la valeur réelle (11,63) en choisissant un pas plus petit;

*    il faudra alors adapter la valeur de t. Par exemple avec dt = 0,1 la variable t passera de 0 à 0,1 puis 0,2 jusqu'à atteindre 10 ou plus.

*    la valeur finale proposée ici pour t = 10 est arbitraire. La théorie voudrait que le calcul soit prolongé à l'infini.

*    En pratique, plus la quantité de calcul est grande et plus on se rapproche de la valeur réelle.
 

 

 

*    Avec Maple, voici un programme tout simple qui permettra de choisir le pas de calcul à loisir et laisser faire l'ordinateur.

*    Ici, le pas de calcul est dt = 0,01 et

*    la quantité de pas est tt = 10 000.

*    Le calcul est effectué pas à pas avec A, B et C les calculs intermédiaires et G qui est le cumul de C.

 

*    La valeur donnée par la fonction GAMMA de Maple est:

 

 =  11,631 728 396 6…

 

 

Initialisation

 

 

 

 

Boucle de calcul

 

 

 

 

 

 

 

 

 

 

Impression

 

 

Principe du calcul avec la définition par produits

*    La mise en musique (tableur ou programmation) n'est pas bien difficile.

*    Par contre, la convergence est très lente.

*    La difficulté, sans connaître la valeur finale, c'est de savoir quand s'arrêter!

 

Exemple pour  

 

 

Quelques valeurs typiques (100 décimales)

= 3,6256099082 2190831193 0685155867 6720029951 6768288006 5467433377 9995699192 4353872912 1618360136 7233843003…

= 2,6789385347 0774763365 5692940974 6776441286 8937795730 1100950428 3275904176 1016774381 9540982889 0411887894…

= 1,7724538509 0551602729 8167483341 1451827975 4945612238 7128213807 7898529112 8459103218 1374950656 7385446654…

= 1,3541179394 2640041694 5288028154 5137855193 2726605679 3698394022 4679637829 6540174254 1675834147 9529729111…

= 1,2254167024 6517764512 9098303362 8905268512 3924810807 0611230118 9382898228 8842679835 7237172376 2149150665 …

 

 3,625 609 ...


*      En 2018, cette constante est connue avec 50 milliards de décimales – Alexander Yee  

Voir Nombre 3,6256…

 

*      Les nombres  ,  , et (1/4) sont indépendants .         

Démonstration 1995

 2,678 938 ...

 

*      Nombre transcendant .

*      Indépendance algébrique: il n'existe pas de polynôme à coefficients non nuls liant ces deux nombres – (1/3) et ) – et prenant la valeur nulle.

  Choodnovsky

Voir Nombre 2,678…

1, 772 453 …

*      Nombre transcendant.

Voir Nombre 1,772…

Voir Pi pannumérique avec fonction gamma

 

 

 

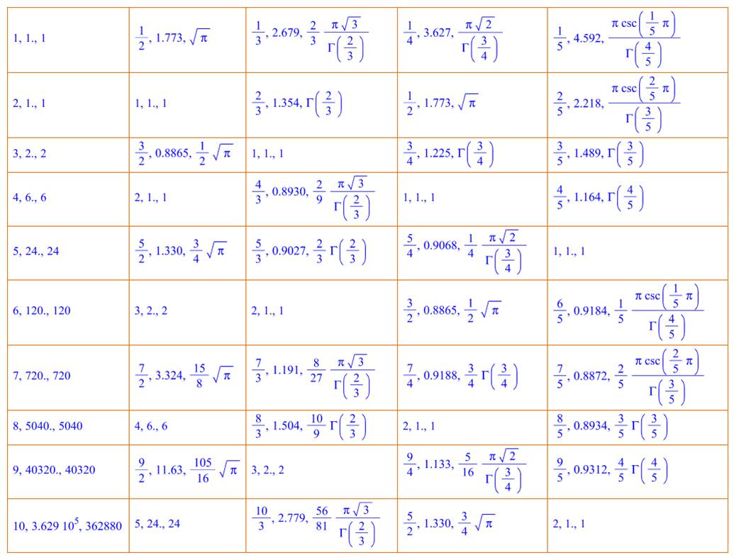
TABLE de valeurs des fractions de 1 à 10 pour N et pour D

 

Lecture:     Trois valeurs  ; sa valeur numérique avec 4 chiffres significatifs, les 0 finaux sont éliminés; et, enfin, son expression en fonction d'autres valeurs

Ex:  qui s'exprime par racine de Pi.
La fonction csc est la cosécante; c'est simplement l'inverse du sinus. On aurait pu mettre le sinus de la même valeur au dénominateur

Note: la première colonne présente les fractions ayant 1 pour dénominateur. Autrement-dit, les nombres entiers de 1 à 10. La fonction gamma donne la valeur de la factorielle classique, décalée d'un cran.

 

 

 

 

 

Visualisation graphique

 

Courbe pour x de – 6 à + 6, montrant la non-définition de la fonction pour les valeurs entières négatives

 

Courbe pour x de 0,001 à 6                                                 ZOOM Courbe pour x de 0,01 à 0,1

 

 

 

Courbe pour x de 0,5 à 2                                              Courbe pour x de 0,5 à 3

 

Notez que pour x =1 et x = 2, même valeur de gamma = 1

D'une manière générale: même valeur pour deux abscisses.

 

 

 

 

DOUBLONS

 

Attention   ( x ) = (x – 1)!

Les valeurs des factorielles sont décalées d'un cran.

 ( 4 ) = 3! = 6

 

 

 

 

 

Suite

*      Sous-factorielles

*      Factorielle tronquée généralisée (Nombres de Stirling)

*      Formule du volume de l'hypersphère

Voir

*      Coefficient du binôme

*      Constante "e"

*      Constante "pi"

*      Constantes

*      EulerBiographie et Index

*      Factorielles divisées

*      Jeux de chiffres

*      Loto

*      n! + 1 = a² (Brocard)

*      Programmation du calcul des factorielles

*      Théorie des nombresIndex

DicoNombre

*      Nombre 222

*      Nombre 145

Sites

*      Calculateur de Gamma (Gamma function finder)

Cette page

http://villemin.gerard.free.fr/Wwwgvmm/Compter/Factgene.htm