Accueil

Orientation générale

Barre de recherche

DicoNombre

DicoMot Math

DicoCulture

Atlas des maths

Rubriques

Index alphabétique

Nouveautés

Actualités

Références

Édition du: 16/09/2025

M'écrire

Brèves de Maths

 

 

INDEX

 

Constante PI

 

Constantes

 

Types de nombres

 

Constante Pi

Introduction

Calcul

Formules

Propriétés

Historique

Valeur

Formules évoluées

Curiosités

Décimales

Programmation

Faites un double-clic pour un retour en haut de page

 

 

 

Constante Pi  (𝛑) = 3,14…

Formules évoluées

 

Quelles sont les formules qui produisent le plus de décimales en un minimum de calculs.

En janvier 2024, une nouvelle formule est découverte.

En avril 2025, on connait 300 000 milliards de décimales.

 

Sommaire de cette page

>>> Pi – Découverte d'une nouvelle formule en 2024

>>> Découverte d'Arnab Priya Saha et Aninda Sinha

Débutants

Constante Pi

 

Glossaire

 Constante Pi

 

 

 

PiDécouverte d'une nouvelle formule en 2024

haut

 

La constante PI

La constante Pi est une des constantes les plus importante des mathématiques, essentiel dans une multitude de domaines scientifiques et techniques comme, par exemple, les fameuses équations de la relativité générale d’Albert Einstein

Pi est un nombre irrationnel qui peut s’écrire avec une infinité de chiffres. En raison de son importance, la recherche des chiffres du nombre Pi est une entreprise bien connue dans le domaine des mathématiques et de la physique.

À ce jour, le record des chiffres connus du nombre Pi s’élève à 202 milliards de chiffres (mai 2024).

 

 

 

La découverte de 2024

En janvier 2024, deux physiciens indiens ont fait une trouvaille inattendue concernant le calcul de ce célèbre nombre.

Alors qu’ils travaillaient sur des modèles liés à la théorie des cordes*, Arnab Priya Saha et Aninda Sinha, chercheurs à l’Indian Institute of Science (IISc), ont découvert par le plus grand des hasards une nouvelle méthode pour calculer Pi.

Ils cherchaient à comprendre comment les cordes interagissent, en utilisant moins de paramètres, pour optimiser les calculs nécessaires. Et, leurs travaux a révélé une nouvelle représentation en série de Pi.

 

 

* La théorie des cordes est une théorie visant à unifier l’électromagnétisme, la gravité et les forces nucléaires.

Cette théorie suggère que les éléments fondamentaux de l’Univers ne sont pas des particules, mais de minuscules cordes vibrantes. Les vibrations générées par ces cordes seraient à l’origine de toute matière et de tout phénomène visible.

Dans le cadre de leur étude, Saha et Sinha ont analysé comment ces cordes pouvaient interagir.

 

 

 

Pi – Les formules en lice

haut

 

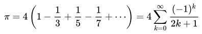
La formule de Mādhava (v.1340 – v. 1425)

La première série de Pi a été découverte au XVe siècle par le mathématicien indien Sangamagrama Madhava, une série qui a jeté les bases pour de nombreux calculs ultérieurs.

La série de Mādhava nécessite 5 milliards de termes pour atteindre une précision de 10 décimales.

Calcul de l'arctangente pour x = 1

En l'appliquant avec x = 1/√3, la série converge bien plus vite :

Mādhava à calculé π avec 11 décimales correctes. Le record a été battu en 1424 par le mathématicien perse Al-Kashi, qui a réussi à donner 16 décimales.

 

 

La formule de Ramanujan (1887-1920)

Voir Ramanujan

http://villemin.gerard.free.fr/Esprit/Ramanuja_fichiers/image007.jpg

 

 

La formule de Gregory et David Chudnovsky (nés en 1952 et 1947)

 

 

 

 

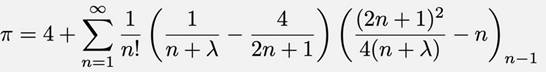
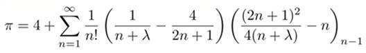
La formule de Saha et Sinha

La nouvelle formule surpasse largement celle de Mādhava en termes de rapidité de convergence.

Cette formule ne nécessite que 30 termes pour atteindre une précision de 10 décimales.

 

Avec

Et lambda, un réel quelconque. De sa valeur dépend la précision.

Lorque lambda tend vers l'infini, on retrouve la formule de Mādhava.

Saha et Sinha ont effectivement découvert un nombre infini de formules pour π.

 

 

Comparaison des performances

Avec un calcul sur cent termes de la formule de Mādhava, la précision atteint: 0,0099007…

Avec un calcul sur quatre termes de la formule de Ramanujan, la précision atteint: 4,94… 10-40

Avec un calcul sur quatre termes de la formule de Chudnovsky, la précision atteint: 5,96… 10-71

Avec un calcul sur quatre termes et lambda  = 10, la formule de Saha & Sinha, produit une erreur de 0,0007763…

 

 

 

Découverte d'Arnab Priya Saha et Aninda Sinha

haut

 

Mādhava de Sangamagrāma

(v.1340 – v. 1425)

Mathématicien indien, père de l'analyse mathématique. Il fonda l'école mathématique et astronomique du Kerala.

Il est connu pour ses contributions révolutionnaires aux mathématiques et à l'astronomie, notamment ses séries infinies pour les fonctions trigonométriques et ses approximations de π.

 

 

La série classique de Madhava est :

Cette série converge lentement mais élégamment vers π. Ce que Saha et Sinha ont découvert, c’est une représentation en série issue de la physique quantique, qui dans certaines limites rejoint cette formule. Leur approche combine :

*      La fonction d’Euler-Beta, utilisée pour modéliser les probabilités dans les interactions de particules.

*      Les diagrammes de Feynman, qui représentent les échanges d’énergie entre particules.

Leur formule exacte n’a pas encore été largement diffusée dans les publications mathématiques classiques, mais elle permet d’extraire π à partir de calculs liés à la diffusion quantique de particules à haute énergie, ce qui est inédit.

 

 

Formule d'Arnab Priya Saha et Aninda Sinha

En construisant un modèle quantique simulant l'interaction entre particules élémentaires, l'équipe de recherche a découvert une formule inédite pour calculer Pi, publiée dans la revue Physical Review Letters.

 

La particularité de cette formule réside dans sa capacité à converger extrêmement rapidement vers la valeur de Pi. L'équipe a combiné les diagrammes de Feynman, qui décrivent les interactions entre particules en physique quantique, avec la fonction bêta d'Euler, un outil mathématique couramment utilisé en théorie des cordes. Cette combinaison crée une séquence de calcul dont le taux de convergence est supérieur aux formules traditionnelles.

 

La nouvelle formule permet aux scientifiques de calculer Pi avec une très grande précision sans avoir à stocker des millions de chiffres, réduisant ainsi considérablement le nombre d'étapes nécessaires à la résolution de problèmes physiques complexes. Ceci est particulièrement utile lors de l'utilisation de supercalculateurs pour simuler les interactions entre particules ou la structure de la matière à l'échelle quantique.

 

 

 

Haut de page (ou double-clic)

 

Suite

*      Formules pour Pi

*      Propriétés de la constante Pi

*      Calcul des réduites de Pi

*      Pi - Glossaire

*      Pi - Dictionnaire des nombres

*      Cercle

Autres relations

*      Approximation de Pi avec 163

*      Formule de Stirling (factorielles)

*      Relation d'Euler: e, i et Pi

*      La machine Ramanujan

Voir

*      Arctg

*      Calcul mentalIndex

*      Construction approchée de Pi

*      GéométrieIndex

*      Isopérimètre

*      Nombres premiers dans Pi

*      Réduites de Pi - Calculs

*      Théorie des nombres Index

Site de référence

*      L'Univers de Pi de Boris Gourevitch

Sites

*      Des physiciens découvrent par hasard une nouvelle formule pour calculer Pi (en étudiant la théorie quantique) - Kareen Fontaine & J. Paiano

*      New recipe for Pi – Numberphile – Tony Padilla Vidéo

*      Pi formula from MathWorld

*      Identities by Ramanujan (Simon Plouffe)

Cette page

http://villemin.gerard.free.fr/Wwwgvmm/Geometri/PiFormEv.htm