Ce site est désormais accessible en

 

 http://diconombre.fr/index.html

 

et pour cette page voir le lien en fin de page

For this page, refer to the link at the bottom.

22 Novembre 2025

 

 

 

 

NOMBRES – Curiosités, Théorie et Usages

 

Accueil                           DicoNombre            Rubriques           Nouveautés      Édition du: 05/12/2025

Orientation générale        DicoMot Math          Atlas                   Actualités                       M'écrire

Barre de recherche          DicoCulture              Index alphabétique        Références      Brèves de Maths                      

                            

JEUX

 

Débutants

Général

PARTAGES

 

Glossaire

Général

 

 

INDEX

Jeux

 

Classiques

Bakhshali

Poèmes

Pascal

Princes de Möbius

Dédommagement

 Gains à partager

 

Sommaire de cette page

>>>

0,5

Œufs

>>>

7

Livres

>>>

9

Poules

>>>

17

Chevaux

>>>

31

Villas

>>>

36

Diamants

>>>

59

Poissons

>>>

59

Œufs

>>>

80

Partage

>>>

301

Œufs modulo

>>>

3 121

Noix de coco

 

 

 

 

PARTAGES IMPOSSIBLES ?

 

Au départ, cela semble impossible.

Avec un petit truc ça marche.

Mais lequel?

 

 

0,5 – ŒUFS

 

Énigme

*         Je vends la moitié de mes œufs et ½  œuf.

Puis la moitié et ½.

Et encore la moitié et ½.

J'ai tout vendu sans casser d'œuf.
Combien d'œufs dans mon panier au départ?

 

Solution

*         J'avais 7 œufs dans mon panier.

 

Client

Panier

Vente

Reste

1

7

3 ½  + ½  = 4

3

2

3

1 ½  + ½  = 2

1

3

1

½  + ½  = 1

0

 

Solution en équations

Q = V1 + V2  + V3      Somme des trois ventes


 

Q = 7

 

Généralisation 1 – Mêmes proportions

 

*         On peut généraliser ce jeu en vendant les mêmes proportions d'œufs à " n " clients.
La quantité au départ est, en fait,
2n - 1.
Soit: 1, 3, 7, 15, 31, 63, 127...

 

Généralisation 2 -  Proportions rationnelles

 

*         Je vends p/q de mes œufs et p/q d'un œuf. Puis p/q du restant plus p/q d'un œuf, et ainsi de suite. A la fin, tous les œufs sont vendus à n clients.

*         L'énigme a une solution à condition que p = q – 1. Alors, il y a au départ: qn – 1 œufs.

 

Exemple : pour p = 3, q = 4 et n = 5
                on trouve 45 – 1 = 1 023 œufs.

Cité en Excursions in Number Theory" (C.S. Ogilvy & J.T.Anderson)

Merci à Jos Heynderickx pour cette référence

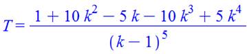
Une idée de la justification

Pour n = 5 et en prenant q = p – 1, on calcule la somme. On trouve:

Avec une identité remarquable

 

Solution T = q5.

La généralisation pour n quelconque se lit sur la formule.

Reste une question: existe-t-il d'autres solutions que q = p – 1? Non! La configuration sympathique qui a permis l'application de l'identité remarque ne se reproduit pas.

La formule générale pour p et q quelconques et n = 5 est:

 

Voir Énigme des œufs qui tombent du centième étage

 

 

Incroyable!

Un œuf non fécondé ne fait qu'une seule cellule géante! Du moins c'est le cas du jaune d'œuf. Le blanc, la membrane et la coquille sont des enveloppes supplémentaires.

 

 

7 – LIVRES

 

Énigme

*         J'ai acheté des livres pour mes enfants.

En rentrant, j'en donne la moitié plus un demi à Isabelle,

puis la moitié de ceux qui me restent plus un demi à Christelle

et le dernier que j'ai dans les mains à Guillaume.

Combien y avait-il de livres?

 

Solution

Il y avait 7 livres.

Partage

Reste

Calcul

Résultat

Total

 

N

 

 

Isabelle

1/2 N + 1/2

R = N - 1/2 N - 1/2

(1)

 

Christelle

1/2 R + 1/2

1 = R - 1/2 R - 1/2

(2)

 

Guillaume

1

0

 

 

 

 

(2) =>

1/2 R = 3/2

R = 3

 

 

(1) =>

3 = 1/2 N - 1/2

N = 7


Remarque

*         On aurait le même résultat en donnant à Guillaume la moitié de ce qui reste plus un demi.

(il restait 1: la moitié de 1 plus 1/2 donne bien 1)

*          Le même problème peut se poser avec 1/3N + 1/3 ou, en généralisant: 1/p N + 1/p.

 

 

9 – POULES et ŒUFS

 

Énigme

Le fermier facétieux constate qu'en moyenne: une poule et demie pond un œuf et demi en un jour et demi. Il demande plein de malices: combien pondent trois poules en trois jours?

 

Référence

Asimov, auteur du roman de science-fiction Les Robots, écrit:

One of technicians asked the Brain, which was a thinking machine with a supremely deductive brain, a question like this: If a hen and a half can lay an egg and a half in a day and a half, how many eggs can nine hens lay in nine days?

Un des techniciens a posé au Cerveau, une machine pensante dotée d'un cerveau extrêmement déductif, une question comme celle-ci : si une poule et demie peut pondre un œuf et demi en un jour et demi, combien d'œufs neuf poules peuvent-elles pondre en neuf jours ?

 

Piste

Comprendre que si on double le nombre de poules, il y aura deux fois plus d'œufs dans le même temps.

Si on double le temps, il y aura deux fois plus d'œufs avec le même nombre de poules.

Si on double la quantité de poules et la quantité de jours, il y aura quatre fois plus d'œufs.

 

Solution

Un tableau permet de suivre cette relation bilinéaire.

 

Cas 3 poules et 3 jours et cas 9 poules et 9 jours (Asimov)

 

Autre solution: calculer la ponte d'une poule par jour

 

Voir Brève 62-1236

 

 

17 – CHEVAUX ou Chameaux

 

Énigme

*         Je lègue mes 17 chevaux à mes trois fils de la manière suivante:

Aîné: 1/2; Puîné: 1/3; Benjamin: 1/9.

Mais c'est impossible. La moitié de 17 c'est 8,5. On ne va tout de même pas découper les chevaux …

Erreur du père ? Non, il y a une solution!

 

Formulation narrative à la manière d'un conte

Un vieil homme, sentant sa mort prochaine, fit venir ses trois enfants pour leur léguer ses chevaux. Il laissa à l'aîné la moitié de ses chevaux. Il laissa au cadet le tiers de ses chevaux. Il laissa au benjamin un neuvième de ses chevaux. A la mort du vieil homme les enfants s'aperçurent qu'il y avait dix-sept chevaux. Ne voulant ni vendre ni tuer aucune des bêtes, et ils ne trouvaient pas de moyen de faire le partage tel que voulu par leur père.

Alors, ils en parlent au fermier voisin, un homme pragmatique, dans l'espoir qu'il puisse trouver une solution à leur problème. Le fermier prit connaissance du testament, et les yeux pétillants, il alla chercher son propre cheval et l'ajouta aux autres. Ce qui faisait dix-huit chevaux.

Dès lors, il devint tout à fait possible aux héritiers de procéder au partage, tel que l'avait prévu le testament de leur père et, bien entendu, le fermier récupéra son propre cheval.

 

Solution

*         Il se trouve qu'un sage à cheval passe par là et dénoue l'énigme ;;; grâce à son propre cheval …

*         Eh oui! Il y a maintenant 18 chevaux, et le partage se réalise sans problème:

*       Aîné:          1/2 de 18 = 9

*       Puîné:        1/3 de 18 = 6

*       Benjamin:  1/9 de 18 = 2

*       Somme: 9 + 6 + 2 = 17 chevaux

*         Le sage reprend son cheval et poursuit son chemin.

 

Explication

*         La somme des fractions donnée par le légataire ne donne pas 1, mais

*         In fine, les proportions 1/2, 1/3 et 1/9 ne sont pas exactement respectées. Mais les rapports entre les trois fils le sont:

*       (1/2)/(1/3) = 3/2;

*       (1/2)/(1/9) = 9/2;

*       Soit les rapports respectifs: 1/2, 3/2 et 9/2.

 

Généralisation

*         On trouvera la même chose pour toutes les solutions en nombres entiers de l'équation:

*         Comme

*          7/8  = 1/2 + 1/4 + 1/8

*       11/12 = 1/2 + 1/4 + 1/6      Voir Énigme du partage des 11 bonbons

*         Avec ces données, sauriez-vous distribuer 7 moutons à trois personnes selon les parts suivantes: 1/2, 1/3 et 1/8? Ou, encore, 11 moutons en 1/2, 1/4 et 1/6?n

 

Voir Fractions unitaires / Nombre 17

 

31 – VILLAS

 

Énigme

Un promoteur vend les cinq villas du lotissement. Les prix sont variés selon la superficie et la taille des villas

*      Villa A: moitié du prix du lotissement plus 0,5 million d'euros;

*      Villa B: moitié du prix restant plus 0,5 million d'euros;

*      Villa C: moitié du prix restant plus 0,5 million d'euros;

*      Villa D: moitié du prix restant plus 0,5 million d'euros; et

*      Villa E: moitié du prix restant plus 0,5 million d'euros.

 Quel est le total de la vente?

 

Solution

 

Prix

Restant

T = 31

A = 16; B = 8: C = 4; D = 2  et E = 1

 

Généralisation  

Si nous prenons 1/k au lieu de ½, la solution est:

Exemples: k = 3/2, alors T = 242; k  5/4; alors T = 3 124; etc.

T est un nombre entier pour k = (p + 1) / p et alors:

 

  

36 -  DIAMANTS

 

Énigme    >>>

 

 

 

59 – POISSONS

 

Énigme

Un commerçant vend ses poissons:

Il vend la moitié de ce qu'il possède plus un demi-poisson.

Puis, le tiers de ce qui reste plus un tiers.

Encore le quart des poissons plus un quart de poisson.

Et un cinquième des poissons et un cinquième de poisson.

Il lui reste 11 poissons.

Quelle est la quantité de départ?

 

 

Solution

 

 

Partage

Reste

Calcul

Résultat

Départ

 

N

 

 

1/2

1/2 N + 1/2

R2  =  N – 1/2 N – 1/2

(1)

 

1/3

1/3 R2 + 1/3

R3=R2 – 1/3 R2 – 1/3

(2)

 

1/4

1/4 R3 + 1/4

R4=R3 – 1/4 R3 – 1/4

(3)

 

1/5

1/5 R4 + 1/5

R5=R4 – 1/5 R4 – 1/5

(4)

 

Arrivée

 

R5 = 11

 

 

 

 

(4) =>

4/5 R4 = 11 + 1/5

R4 = 14

 

 

(3) =>

3/4 R3 = 14 + 1/4

R3 = 19

 

 

(2) =>

2/3 R2 = 19 + 1/3

R2 = 29

 

 

(1) =>

1/2   N = 29 + 1/2

N  = 59

  

 

 

59 – ŒUFS

 

Énigme

Combien y a-t-il d'œufs dans le panier, en les disposant comme suit:

 

Par rangées de

Il en reste

2

1

3

2

4

3

5

4

 

Solution

 

N = 2a + 1 = 3b + 2 = 4c + 3 = 5d + 4

= 2 x 29 + 1 = 3 x 19 + 2 = 4 x 14 + 3 = 5 x 11 + 4 = 59

 

Équation – résolution en fonction de d

 

 

Quelques solutions

                                      N                a                b                c                d

                                     59                14              19              29             11

                                   119                29              39              59             23

                                   179                44              59              89             35

                                   239                59              79              119           47

                                   60k-1            15k-1        20k-1        30k-1         12k-1

 

Voir Modulo / Énigme du défilé

 

 

80 – PARTAGE

 

Énigme

Trois amis A, B et C décident de faire un repas en commun.
A amène 5 plats; B en amène 3; C n'apporte rien.
Chaque plat à la même valeur.
C verse 80 € aux deux autres. Ils sont d'accords.
Mais comment partager ces 80 €  entre A et B?
Est-ce: 50 € à A et 30 € à B ? Non!

 

Solution

Prix de la part de chacun

80 €

Prix total du festin

3 x 80 = 240 €

Prix de chaque plat

240 / 8 = 30 €

A apporte (en valeur)

30 x 5 = 150

A paye son repas

80

En conséquence, A doit recevoir

150 – 80 = 70 €

Même raisonnement pour B

30 x 3 – 80 = 10 €

 

 

 

 

301 - ŒUFS  MODULO

Énigme    >>>

 

 

3 121 - NOIX DE COCO

 

Énigme

Cinq hommes et un singe font une provision de noix de coco.

Durant la nuit le premier se lève et prend sa part (1/5); il en reste une qu'il donne au singe.

Le deuxième se lève un peu plus tard et fait la même chose: il prend 1/5 de qui reste et en donne une au singe.

Même chose jusqu'au cinquième.

La troupe se lève au petit matin et décide de faire le partage.

Chacun reçoit sa part et il ne reste pas de noix de coco. Combien de noix de coco au départ?

Solution

 

 

 

 

 

Voir

*    Autres énigmes de partages

*    JeuxIndex

*    Poèmes et partages

*    Équation ax+ by + c

Aussi

*    Allumettes

*    Dix - jeux

*    Douze - jeux

*    FractionGlossaire

*    Fraction - problèmes

*    Suites

Site

*    The monkey and the coconuts – Wikipedia

Cette page

http://diconombre.fr/Puzzle/Partage.htm