|
||||||||||||||||||||||||||||||||||||||||
![]()
|
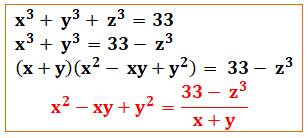
N = x3 + y3 +
z3 En 2020, toutes les solutions
jusqu'à 113 sont connues. Il existe encore dix nombres sans
solution jusqu'à 1000. |
|
|
||
|
Répondre
à la question: |
Tout nombre entier peut-il s’exprimer comme la somme de trois entiers relatifs
élevés au cube ? n = x3 + y3 + z3 ? |
|
|
Il existe
des cas impossibles bien identifiés |
Ce sont les nombres en 9k + 4 ou 9k + 5 . Pour les autres, on pense que oui, et souvent plusieurs fois. On conjecture même une infinité de fois. |
|
|
Exemple |
2 = 13 + 13 = (–5)3 + (–6)3
+ 73 = (–24)3 + (–47)3
+ 493 |
|
|
En
septembre 2019 |
Désormais ils sont tous connus jusqu'à 100. |
|
Voir Tableau pour les nombres de 1 à 100
|
|
||
|
1825
- Revue Ladies'diary par S. Ryley |
Il énonce ce problème et propose une solution pour les nombres
rationnels. |
|
|
Problème
résolu jusqu'à 100 Il existe
22 nombres impossibles. |
Solution pour les 78 nombres possibles, Sauf pour le nombre 42
encore non-trouvée. |
|
|
En 1953, Louis Mordell (1888-1972), connu
pour l'équation de Mordell: y² = x3 + k. |
Traite ce problème. |
|
|
En 1954,
on connaissait |
69 solutions jusqu'à 100. Puis vinrent les ordinateurs. |
|
|
En 1992,
Roger Heath-Brown |
Conjecture
qu'il y a une infinité de solutions pour chacun des possibles. |
|
|
Vers
2000, Noam Elkies (Harvard) |
Algorithme limitant la quantité
de recherche |
|
|
En 2015: |
75 solutions connues Manquent: 33, 42 et 74 |
|
|
En 2016,
Sander Huisman (ENS Lyon). |
Solution pour n = 74 74
= (−284 650 292 555 885)3 + 66 229 832 190 5563 + 283 450 105 697 7273 |
|
|
En 2019, Andrew
Booker (Bristol) développe un algorithme ciblé sur le nombre 33 et trouve une
solution: Idée de
l'algorithme
Recherche
de divisibilités |
Solution pour n = 33 33
= 8 866 128 975 287 5283 + (–8 778 405 442 862 239)3 + (–2 736 111 468 807 040)3 = (6,969… – 6,764… – 0,205…) 1047 Obtenue après trois jours de calculs sur un superordinateur |
|
|
Pour les
nombres jusqu'à 100: |
Aucun nombre, y compris le nombre 42, ne résiste. |
|
|
Pour les
nombres jusqu'à 1 000: |
Il reste 10 nombres sans solution: 114, 165, 390, 579, 627, 633, 732,
906, 921 et 975. Tous ces nombres sont des multiples de 3. |
|
|
|
||||
|
En
mi-2019, Andrew Booker (Bristol) et
Andrew Sutherland (MIT) ont résolu le cas 42 avec le même algorithme que pour
33. Travail
en partage de PC dans le monde ayant requis plus d'un million d'heures de
calcul. |
Solution pour n =
42 X = –80538738812075974 Y = 80435758145817515 Z = 12602123297335631 Pour mesurer l'exploit: X3 = 522 413 599 036 979 150 280 966 144 853 653 247 149
764 362 110 424 = 5,22… 1050 |
|||
|
Anglais Mathematicians have
finally figured out the three cubed
numbers that add up to 42. This has settled
a problem that has been pondered for 65 years:
namely, can each of the natural numbers below 100 be expressed as the sum of
three cubes? |
Français Les mathématiciens ont enfin trouvé les trois cubes dont la somme est
égale à 42. Cette découverte a permis de résoudre un problème auquel on
réfléchissait depuis 65 ans : à savoir, chacun des nombres naturels
inférieurs à 100 peut-il être exprimé comme la somme de trois cubes ? |
|||
|
Prochain défi |
|
|||
Voir
Anglais pour le bac et pour les affaires
|
|
|||
|
Tous les
nombres sont |
Somme des cubes de trois nombres rationnels. |
||
|
Somme
impossible pour |
n = 9k + 4 ou 9k + 5 >>> |
||
|
Seules
solution pur n = 0 |
0 = a3 + (-a)3 + 03 |
||
|
Infinité
de solutions pour n = 1 |
Pour a = 1: 93
– 63 – 83 = 729 – 216 – 512 Autre (grande) solution: |
||
|
Infinité
de solutions pour n = 2 |
Pour a = 1: 73
– 53 – 63 = 343 – 125 – 216 |
||
|
Deux solutions
pour n = 3 (2019) |
3 = 13 + 13 + 13
= 43 + 43 + (-5)3 = 128 – 125 |
||
|
Nombre
972 |
Huisman a trouvé 96 solutions.
|
||
|
Tous les
nombres en multiple de 3 semblent conduire à |
des solutions difficiles, impliquant de grands nombres. |
||
|
Une
solution et les autres … |
Pour certains cas, passer d'une solution à la suivante nécessite de
passer à des nombres plus d'un million de fois plus grands. Exemples 24 = 23 + 23 + 23 = (–10)3 + 83
+ 83 = (–15 550 555 555)3
+ (15 584 139 827)3 + (–2 901 096 694)3 |
||
|
Savoir si
on peut trouver un algorithme donnant toutes les solutions |
est sans doute un problème indécidable. |
||
Table
éditée par Alon Amit en 2019


|
The question whether all |
Voir Anglais – Le bagage minimum
![]()
|
Retour |
|
|
Suite |
|
|
Voir |
|
|
|
|
|
Cette page |
http://villemin.gerard.free.fr/aMaths/Partition/PartCube.htm
|
![]()