NOMBRES – Curiosités, Théorie et Usages

 

Accueil                           DicoNombre            Rubriques           Nouveautés      Édition du: 09/10/2025

Orientation générale        DicoMot Math          Atlas                   Actualités                       M'écrire

Barre de recherche          DicoCulture              Index alphabétique        Références      Brèves de Maths

      

  COMPTER

 

Débutants

Compter

DANS LE CERCLE

 

Glossaire

Compter

 

 

INDEX

 

Combinatoire

 

Cercle

Division du cercle

 Fractions

En n parts

Cercles et régions

 

Sommaire de cette page

>>> DIVISION DU CERCLE avec n points

>>> Calcul de la formule

>>> DIVISION DU CERCLE avec n cordes

>>> Justification de la formule

 

 

 

 

 

DIVISION DU CERCLE EN RÉGIONS

 

Où l’on montre que l’extrapolation n’est pas toujours justifiée.

 

A l’usage des professeurs

et,  comme idée de travaux pratiques.

 

Démarche

Nous allons d'abord compter, puis établir la relation Qn = f(n), Q étant la quantité de régions et n le nombre de points sur le cercle.

Nous allons ensuite justifier ces quantités en établissant la formule itérative: Qn+1 = Qn + g(n);

 

Pour cela nous aurons besoin de travailler sur le cas de la partition du cercle par des cordes. En effet, chaque nouveau point sur le cercle engendre une certaine quantité de cordes et chaque corde partage les régions existantes.

 

Voir Toutes les autres possibilités de partager le cercle

 

 

 

 

DIVISION DU CERCLE avec n points

 

Problème du cercle de Moser

Soit n points sur un cercle.

On trace toutes les droites possibles rejoignant ces points.

 

Quel est le nombre de parts découpées dans le cercle ?

 

 

Il faut trouver le nombre suivant

 

Fausse piste

On remarque que la succession des nombres

donne les puissances de 2.

Le suivant serait 32?

Faux !

Voir Grande loi de Guy

 

Les points sur le cercle doivent être distincts. Les droites tracées doivent couper les autres, sans passer un point d'intersection existant.

 

 

 

Réponse

 

C’est 31 dans le cas général.

et 30 si l’hexagone formé est régulier.

 

Brève 375

 

 

Vue symétrique artistique

 

*    Les trois cordes centrales ont été légèrement courbées pour faire apparaître la 31e région.
 

 

 

 

Cas de 7 points

 

 

 

Formule et valeurs

 

N est la quantité de portions obtenues en partageant un cercle avec n sécantes quelconques.

 

 

Note: on retrouve une puissance de 2 avec 10 sécantes.

Voir Divisibilité par 24

 

 

Calcul de la formule

 

*    Le calcul est basé sur l'observation des différences successives entre les quantités. Formons le tableau:

 

 

*    Il faut aller jusqu'à la différence quatrième pour rester constant; le polynôme donnant Q est du quatrième degré.

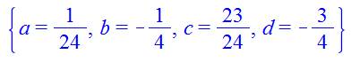
Q = a.n4 + b.n3 + c.n2 + d.n + e

Q0 = 1   e = 1

 

*    Nos disposons d'un système de quatre équations en calculant Q pour les quatre premières valeurs:

Q1 =     1.a +   1.b +   1.c + 1.d + 1 = 1

Q2 =   16.a +   8.b +   4.c + 2.d + 1 = 2

Q3 =   81.a + 27.b +   9.c + 3.d + 1 = 4

Q4 = 256.a + 64.b + 16.c + 4.d + 1 = 8

 

*       La résolution est fastidieuse. Avec Maple on trouve:


 
> with(SolveTools):

   Linear({a+b+c+d,16*a+8*b+4*c+2*d-1,81*a+27*b+9*c+3*d-   3,256*a+64*b+16*c+4*d-7},{a,b,c,d});

*    Soit l'équation:

 

*    Q étant un nombre entier, ce calcul prouve que l'expression est bien divisible par 24.

 

Notons que nous obtenons la formule sans justifier les valeurs. Pour y arriver il nous faut compter les partitions avec des cordes. Objet du paragraphe suivant.

 

 

Voir Calcul de la formule par la méthode des différences et coefficients binomiaux

 Merci à Jean-Jacques Juré pour m'avoir signalé cette possibilité "élégante" dont les calculs sont simples

 

 

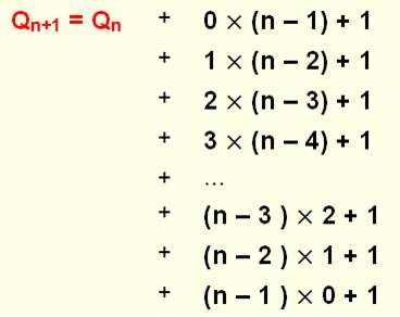
Division du cercle avec n cordes

 

*    Quantité (Q) de régions du cercle en fonction du nombre (n) de cordes. (Cordes et non plus les points).



*    Une nouvelle corde coupe toutes les anciennes cordes créant n + 1 segments; les régions correspondantes sont coupées en deux; ajoutant de ce fait, n + 1 régions

Qn+1 = Qn + (n + 1)

Qn+1 – Qn = n + 1

 

*    Faisons le compte corde après corde:

 

*     En faisant la somme, la majorité des termes s'éliminent deux à deux.

 

Qn = ½ n (n + 1) + 1

 

Anglais: What is the maximum number of regions you can have with n chords in a circle?

 

 

 

Justification de la formule

 

*    Soit le cercle et n points sur sa circonférence. Le cercle est partagé en Qn régions.

*    Avec le point supplémentaire (n + 1), nous introduisons n nouvelles cordes, chacune découpant de nouvelles régions.

*    Le paragraphe vu précédemment est bien utile!

 

Principe du dénombrement  avec 6 points

 

*    En traçant la corde 61, une région de plus est créée. Simple!

*    En traçant la corde 62, ce sont quatre régions qui sont créées. Par de complication, sauf à bien appliquer le principe des piquets et des intervalles.



*    En traçant la corde 63, ce sont cinq régions qui sont créées. Le compte se complique un peu. Nous devons compter les cordes qui relient les points qui restent aux points qui sont déjà vus.

 

 

 

Principe du dénombrement – Cas général de n points

 

 

*    Combien de régions formons-nous en ajoutant le point n+1?

*         Avec le point 1: une seule région

*         Avec le point 2: intersection de n – 2 cordes (il y en avait n – 1 pour le point 1) et création de  (n – 2) + 1 segments. Chacun délimite une région supplémentaire.

*         Avec le point 3: nous faisons face à  n – 3 points restants et 2 déjà traités, soit 2 x (n – 3) cordes et autant de nouvelle régions plus une.

 

*    Comptabilisons et ajoutons toutes ces régions nouvelles à celles que nous avons déjà:

 

 

*    Passage à une formule générique itérative et calcul en utilisant les formules de somme des entiers et des carrés:

 

 

 

Finalisation

 

*    Avec cette formule itérative, nous sommes en mesure de calculer les quantités de partitions du cercle avec n points. Nous retrouvons bien entendu le tableau indiqué ci-dessus.

*    Or, la formulation était basée sur ce tableau.  Avec cette formulation, nous pouvons vérifier que nous obtenons bien la formule itérative (Sympa, je vous laisse le soin de vérifier les calculs …):

 

 

 

 

*    La boucle est bouclée et nous disposons:

*         d'une formule absolue validée,

*         d'une relation itérative, et

*         du tableau des valeurs.

 

 

 

 

Retour

*    CombinatoireRubriques

*    D'un coup d'œil

*    CercleIndex

Voir

*    Cartes

*    Cercles: combien de régions créées

*    CompterIndex

*    Compter les nombres

*    Dés

*    Dominos

*    Échecs

*    Factorielle

*    Factorielle et ses cousines

*    FractionsGlossaire

*    Grenouilles

*    JeuxIndex

*    Jeux de hasard

*    Principe additif

*    Probabilités

*    Triangle de Pascal

Sites

*    OEIS 000127 - Maximal number of regions obtained by joining n points around a circle by straight lines.

Cette  page

http://villemin.gerard.free.fr/Denombre/CercPart.htm