NOMBRES – Curiosités, Théorie et Usages

 

Accueil                           DicoNombre            Rubriques           Nouveautés      Édition du: 12/11/2025

Orientation générale        DicoMot Math          Atlas                   Actualités                       M'écrire

Barre de recherche          DicoCulture              Index alphabétique        Références      Brèves de Maths

       

Géographie

 

Débutants

Général

REPÉRAGE

 

Glossaire

Général

 

 

INDEX

 

Géographie

Points cardinaux

Sphère terrestre

Pôles

Tropiques

Atmosphère

Calcul de distance

 

Sommaire de cette page

>>> Données pour les exemples numériques

>>> Méthode simple avec Pythagore

>>> Méthode avec la formule de haversine

>>> Bilan des résultats selon la méthode

>>> Programmation Maple

 

 

 

 

 

 

Distance entre deux points géographiques connus par leurs latitudes et longitudes

 

Présentation de trois méthodes.

Classiquement pour un lieu donné:

Voir Alphabet grec

 

 

Données pour les exemples numériques

 

Valeurs pour la France pour une tranche de longitudes entre 2° et 3°.

Les valeurs indiquées (en km) ont été relevées sur les cartes IGN (GéoPortail)

Lire: latitude "au niveau" de la ville de Calais, etc.

Exemple de lecture: un degré de longitude à la latitude de Limoges vaut 77,2 km.

 

Voir Taille de la Terre / France

 

 

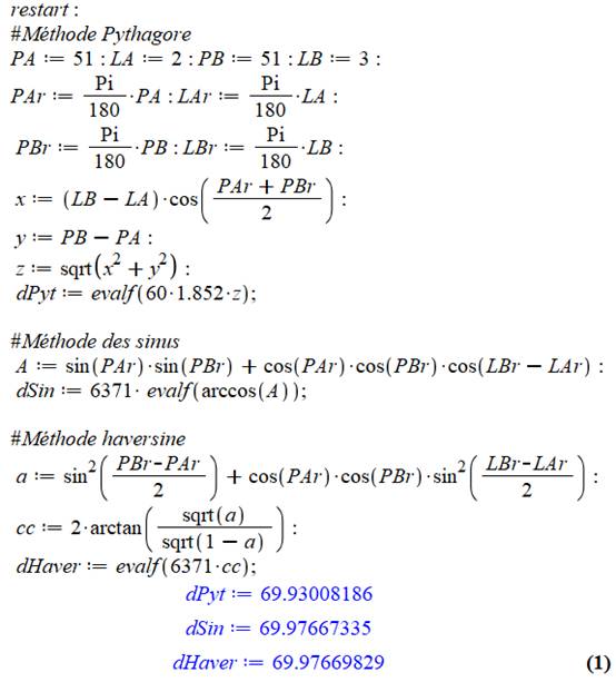
Méthode simple avec Pythagore

Pour de petites distances la méthode utilisant le théorème de Pythagore marche bien.

 

On calcule x et y des distances exprimées en degrés (degrés décimaux). Puis, z la distance cherchée exprimée en "degrés".

 

Le facteur k rétablit l'échelle en kilomètre en sachant que 1 minute d'arc = 1 mille marin  = 1852 m; à multiplier par 60 pour passer aux degrés.

 

Formules

 

 

Exemple pour 1° de longitude à la latitude 51°

x = 1° × cos (51) = 0,629…

y = 0°

z = 0,629…

d = 1,852 x 60 × 0,629 = 69,9300… km

 

Principe du calcul en image

 

Méthode avec loi des sinus

 

La formule donne le cosinus d'un angle à multiplier par le rayon terrestre.

 

 

Exemple pour 1° de longitude à la latitude 51°

d = 6 371 ×  arccos(0,99993968…) = 69,97 km

 

Voir explication du calcul en Comment obtenir la distance entre deux points

connus en longitude et latitude sur la sphère ? – IGN

 

 

Méthode avec la formule de haversine

 

Cas particulier d'une loi de la géométrie sphérique, la loi de haversine permet de calculer la distance du grand cercle entre deux points d'une sphère.

 

 

Exemple pour 1° de longitude à la latitude 51°

a = 0,000030159…

c = 0,010983…

d = 69,9767 … km

 

 

Note: certains sites donnent c avec atan2: ce n'est pas le carré, mais l'indication que deux arguments suivent.

Merci à Loïc Lafon

 

Bilan des résultats selon la méthode

En km

D51/1

D42,7/1

D51 à 42.7

Cartes IGN1

70

82

925

Simple

69,93

81,66

922.3

Loi des sinus

69,97

81,72

922,92

Haversine

69,9767

81,7183

922,9179

1 Par pointage manuel (on peut sans doute faire mieux en jouant sur l'échelle)

 

 

Programme Maple

Commentaires

Programmation et résultats pour les trois méthodes.

 

Notez le passage des angles de degrés décimaux en radians.

 

 

Autres outils

S'agissant de la transcription de formules, il est possible très simplement de passer à un autre langage de programmation ou d'implémenter ces formules sur un tableur du type Excel.

 

 

 

 

 

 

 

Confirmation avec un calculateur en ligne

 

Calculate distance, bearing and more between Latitude/Longitude points – Movable Type Scripts

 

 

Grand merci à Walter M. professeur à Poitiers

 

 

Pour aller plus loin

Je vous invite à consulter ce document de Jean-Marie Lemoine pour plus de précisions

Calcul simple et précis des distances terrestres courtes à partir des coordonnées géographiques.

*      Document

*      Tableur

 

 

 

 

 

 

Retour

*  Sphère terrestre

Voir

*    Ciel, étoiles

*    Distance

*    Distance à l'horizon

*    GéographieIndex

*    Golfe de Guinée

*    Mesure du méridien par Picard

*    Montres et calcul de longitude

*    Obliquité et saisons

*    Rose des vents

*    Sphère

*    Système sexagésimal

*    Terre

*    UTM

*    Zéro

Livres

*   Longitude - (Histoire de la montre de précision) - Dava Sobel - Seuil - points sciences – 1998

*  La Méridienne (Robert Laffont) et Le Mètre du monde (Seuil) de Denis Guedj

Sites

*   Formule de Haversine – Wikipédia

*   Orthodromie - Wikipédia

*   Calculate distance, bearing and more between Latitude / Longitude points – Movable Type Scripts – Avec calculateur en ligne

*   Cartes de la Terre – Daniel Ramos – EHESS – Vidéo présentant simplement toutes les formes de projections cartographiques

Cette page

http://villemin.gerard.free.fr/aGeograp/Distance.htm